| 查看: 344 | 回复: 1 | ||
孙月半233新虫 (初入文坛)
|
[求助]
蠕变曲线
|
|
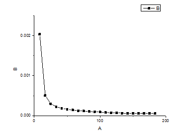
从蠕变率如何看出没有到达一个稳定蠕变?严格的稳态蠕变是否存在?不存在的话那稳态蠕变可接受范围是多少?图2有木有稳态蠕变,从多少小时开始的呢?求大神 发自小木虫Android客户端 |
» 猜你喜欢
新加坡南洋理工大学招聘博士后(固态电池,固体离子导体,转化正极方向)
已经有15人回复
北京工业(211)课题组收博士
已经有0人回复
有机高分子材料论文润色/翻译怎么收费?
已经有166人回复
化药设备差距真相,您了解有种钽中间体吗?
已经有0人回复
ICH Q3D高压下,钽金属如何让药品纯度再上一个台阶?
已经有0人回复
钽:盐酸环境中的 “抗腐蚀王者”— 耐盐酸腐蚀金属材料详解
已经有0人回复
安全第一,耐蚀升级:钽涂层在化工反应釜防腐中的实用详解
已经有3人回复
钽:混合酸硝化的 “耐腐王者”
已经有0人回复
国家杰青低维材料与器件力学团队招收博士研究生
已经有10人回复
新修订《药品管理法实施条例》下制药设备创新与合规讨论
已经有0人回复
国家杰青低维材料与器件力学团队2026年招收博士研究生
已经有10人回复
孙月半233
新虫 (初入文坛)
- 应助: 0 (幼儿园)
- 金币: 175.6
- 帖子: 26
- 在线: 12.9小时
- 虫号: 5984362
- 注册: 2017-03-15
- 性别: GG
- 专业: 金属材料的力学行为
2楼2017-06-25 17:24:48













回复此楼