| 查看: 1531 | 回复: 4 | ||
[求助]
铝合金拉伸曲线的一点疑问 已有1人参与
|
|
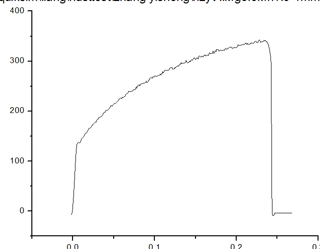
求助大家,最近在做铝合金的拉伸试验,发现他的拉伸曲线在0、45、90三个方向拉伸都是像图中那样呈现锯齿状,不知道什么原因? 还有就是为什么我做完发现45°的强度最高,一般不是0°的性能最好吗?有没有懂的大神解释下 试样试1mm厚的 doud.png |
» 猜你喜欢
求调剂院校信息
已经有6人回复
能源材料化学课题组招收硕士研究生8-10名
已经有17人回复
一志愿北京化工大学 070300 学硕 336分 求调剂
已经有3人回复
一志愿中南大学化学学硕0703总分337求调剂
已经有3人回复
260求调剂
已经有4人回复
材料与化工085600,总分304,本科有两篇sci参与,求调剂
已经有4人回复
求调剂一志愿海大,0703化学学硕304分,有大创项目,四级已过
已经有7人回复
一志愿东华大学化学070300,求调剂
已经有7人回复
275求调剂
已经有7人回复
070300化学求调剂
已经有3人回复

dickliu7
铁杆木虫 (著名写手)
- MM-EPI: 1
- 应助: 559 (博士)
- 金币: 6177.4
- 红花: 82
- 帖子: 1139
- 在线: 299.5小时
- 虫号: 1651509
- 注册: 2012-02-28
- 专业: 金属结构材料
【答案】应助回帖
★ ★ ★ ★ ★
感谢参与,应助指数 +1
流年似火: 金币+5, ★★★很有帮助 2017-06-27 15:09:55
感谢参与,应助指数 +1
流年似火: 金币+5, ★★★很有帮助 2017-06-27 15:09:55
|
??????????????m????????Щ??t?????????Щ?F???????????Щ????????? ???X????У????Щ?F??_???y??????????Kδ??????????????о???????6066F????????^??????????????????^???????????????????6069????????T>L>45???6005-T5????????6005-T6?? ??????X???F????????B??Y????F???t????????б????????F??????????????????????gЪ?????F?????Cottrell????????????@?????????W?g?о????}?????????????]????? |
2楼2017-06-25 12:29:38
3楼2017-06-26 21:20:01
hcs009
金虫 (正式写手)
- 应助: 0 (幼儿园)
- 金币: 1514.8
- 散金: 10
- 红花: 5
- 帖子: 417
- 在线: 41.5小时
- 虫号: 6786473
- 注册: 2017-06-19
- 性别: GG
- 专业: 金属功能材料
4楼2017-06-26 21:47:15

5楼2017-06-27 15:08:04













回复此楼