| 查看: 1820 | 回复: 10 | ||
| 当前只显示满足指定条件的回帖,点击这里查看本话题的所有回帖 | ||
[求助]
高温拉伸劲缩之后应力应变曲线出现平台的原因已有2人参与
|
||
|
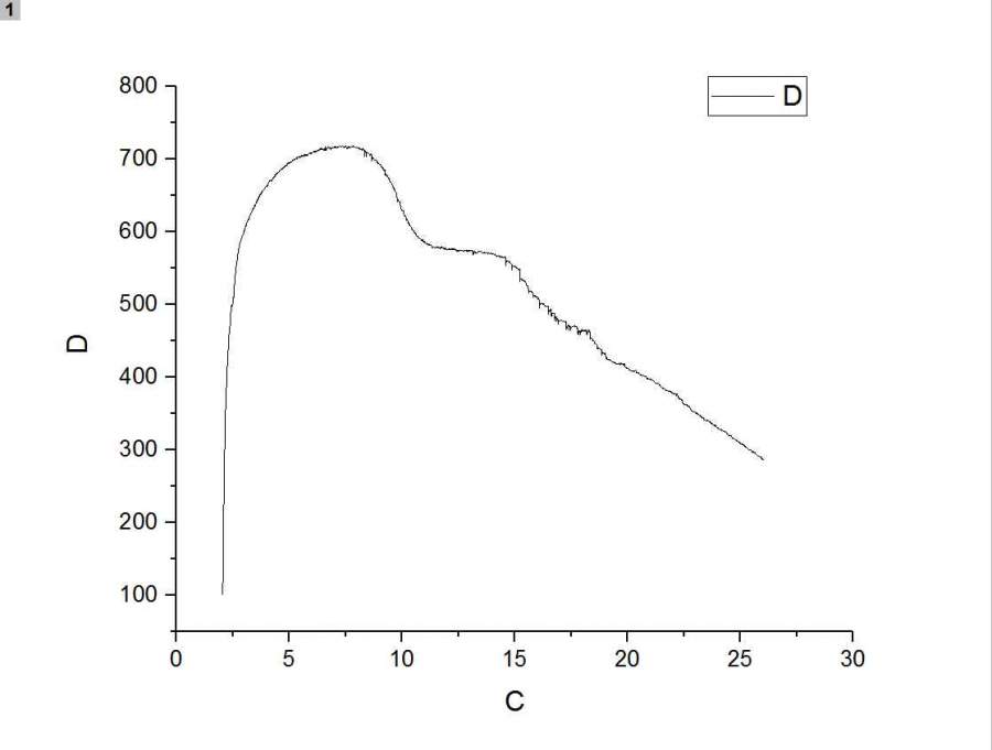
高温拉伸经过最大拉力后在应力应变曲线上出现平台,没有一直下降这是为什么?如图所示 发自小木虫Android客户端 |
» 猜你喜欢
comsol6.2仿真永磁电机无转矩求助
已经有0人回复
投稿Applied Surface Science
已经有2人回复
有机高分子材料论文润色/翻译怎么收费?
已经有229人回复
公派CSC联合培养博士生
已经有10人回复
关于位错的定义的疑问
已经有0人回复
细晶强化及其应用相关的课件
已经有0人回复
细晶强化及其应用相关的课件
已经有0人回复
微合金钢的固溶温度的确定公式
已经有1人回复
关于30°不全位错的柏氏回路的绘制
已经有0人回复
北京科技大学/李亚庚教授招收2026年秋季入学博士生
已经有11人回复
省级国家级人才计划申报
已经有0人回复
11楼2017-06-26 13:51:37
peterflyer
木虫之王 (文学泰斗)
peterflyer
- 应助: 20282 (院士)
- 金币: 145750
- 红花: 1374
- 帖子: 93073
- 在线: 7693.7小时
- 虫号: 1482829
- 注册: 2011-11-08
- 性别: GG
- 专业: 功能陶瓷
2楼2017-06-24 21:36:53
3楼2017-06-25 19:55:03
zhangbei_607
新虫 (正式写手)
- 应助: 0 (幼儿园)
- 金币: 1442.3
- 红花: 8
- 帖子: 500
- 在线: 60.9小时
- 虫号: 3287990
- 注册: 2014-06-23
- 专业: 零件加工制造
4楼2017-06-25 20:48:43









回复此楼