| 查看: 813 | 回复: 1 | ||
dongjinxin银虫 (初入文坛)
|
[求助]
知道传质过程的governing equation 如何得到其泛函
|
|
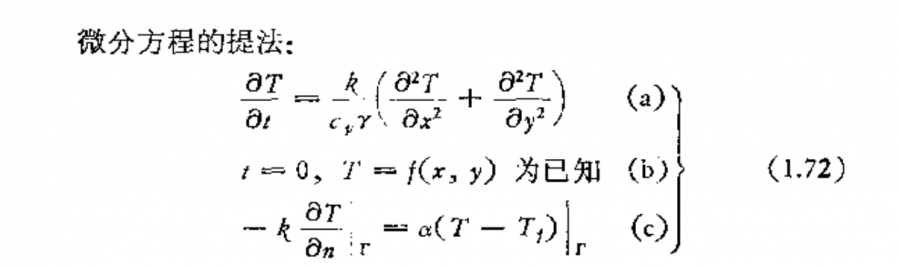
最近刚刚学习有限元法,在第一步构建泛函时就出现问题。 需要计算的传质公式如图一,而根据相似的传热学公式如图二,所得泛函为图三。 但我一直搞不清楚如何得到k/2((dT/dx)^2+(dT/dy)^2)+rcpT(dT/dt) 请问大家哪里有详尽的推导过程吗? 谢谢! governing equation.png 瞬态传热方程.png 瞬态传热方程泛函.png |
» 猜你喜欢
277求调剂
已经有23人回复
322求调剂,08工科
已经有4人回复
材料工程281还有调剂机会吗
已经有30人回复
化学070300 求调剂
已经有16人回复
化工学硕294分,求导师收留
已经有12人回复
一志愿哈工大 085600 277 12材科基求调剂
已经有32人回复
268分085602化学工程调剂
已经有31人回复
一志愿安大生物学07初试322、本科二本、调剂求助
已经有11人回复
食品与营养(0955)271求调剂
已经有7人回复
085600材料与化工349分求调剂
已经有9人回复
2楼2017-07-18 10:11:08













回复此楼
20