24小时热门版块排行榜    

查看: 585  |  回复: 1

657867291

新虫 (小有名气)

[求助] 质谱求助!

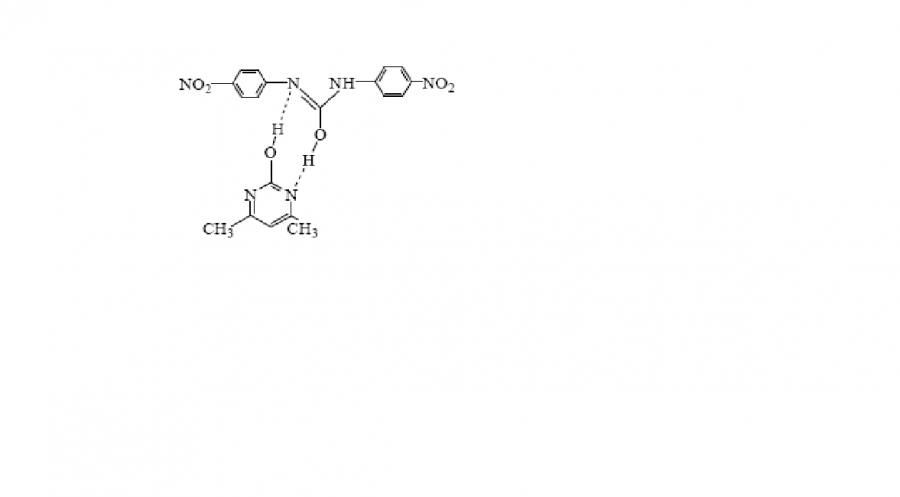
化合物中文化学名:4,4′-二硝基均二苯脲(DNC,分子量为302.26)与 2-羟基-4,6-二甲基嘧啶(HDP,分子量为124.12)的复合物
结构式如下:
在负离子模式下得到DNC-H准离子峰,未检测到HDP;
在整离子模式下得到175.5离子峰,未检测到DNC,但175.5不知如何而来,请大神帮忙分析!

质谱求助!
尼卡巴嗪结构.PNG


质谱求助!-1
尼卡巴嗪负离子下空白.PNG


质谱求助!-2
负离子模式尼卡巴嗪样品扣除背景的质谱图.PNG


质谱求助!-3
尼卡巴嗪正离子模式下空白.PNG


质谱求助!-4
尼卡巴嗪正离子扣除背景质谱图.PNG
回复此楼

» 猜你喜欢

» 本主题相关商家推荐: (我也要在这里推广)

已阅   回复此楼   关注TA 给TA发消息 送TA红花 TA的回帖

飞翔森林

木虫 (小有名气)

2楼2017-06-21 20:37:09
已阅   回复此楼   关注TA 给TA发消息 送TA红花 TA的回帖
相关版块跳转 我要订阅楼主 657867291 的主题更新
最具人气热帖推荐 [查看全部] 作者 回/看 最后发表
[考研] 一志愿哈工大,085400,320,求调剂 +4 gdlf9999 2026-03-24 4/200 2026-03-25 23:01 by boxking200
[考研] 材料与化工328分调剂 +6 。,。,。,。i 2026-03-23 6/300 2026-03-25 22:30 by 418490947
[考研] 生物技术与工程 +3 1294608413 2026-03-25 4/200 2026-03-25 18:02 by 1294608413
[考研] 材料学硕333求调剂 +4 北道巷 2026-03-24 4/200 2026-03-25 14:16 by mapenggao
[考研] 081700 调剂 267分 +10 迷人的哈哈 2026-03-23 10/500 2026-03-25 12:12 by userper
[考研] 303求调剂 +6 元夕元 2026-03-20 7/350 2026-03-25 12:00 by edmund7
[考研] 070300化学求调剂 +9 苑豆豆 2026-03-20 9/450 2026-03-24 17:15 by licg0208
[考研] 材料专硕331求调剂 +4 鲜当牛 2026-03-24 4/200 2026-03-24 15:58 by JourneyLucky
[考博] 26申博自荐 +3 whh869393 2026-03-24 3/150 2026-03-24 09:55 by 21018060
[考研] 求调剂 +7 十三加油 2026-03-21 7/350 2026-03-23 23:48 by 热情沙漠
[考研] 一志愿国科过程所081700,274求调剂 +3 三水研0水立方 2026-03-23 3/150 2026-03-23 23:11 by MajorWen
[考研] 材料/农业专业,07/08开头均可,过线就行 +3 呵唔哦豁 2026-03-23 4/200 2026-03-23 22:30 by 汪!?!
[考研] 石河子大学(211、双一流)硕博研究生长期招生公告 +3 李子目 2026-03-22 3/150 2026-03-22 21:01 by 怎么释怀
[考研] 315分,诚求调剂,材料与化工085600 +3 13756423260 2026-03-22 3/150 2026-03-22 20:11 by edmund7
[考研] 275求调剂 +6 shansx 2026-03-22 8/400 2026-03-22 15:27 by barlinike
[考研] 求调剂院校信息 +6 CX 330 2026-03-21 6/300 2026-03-22 15:25 by 无懈可击111
[考研] 一志愿北京化工大学070300 学硕336求调剂 +5 vv迷 2026-03-21 8/400 2026-03-22 14:20 by ColorlessPI
[考研] 0805材料320求调剂 +3 深海物语 2026-03-20 3/150 2026-03-21 15:46 by 无际的草原
[考研] 求调剂 +3 白QF 2026-03-21 3/150 2026-03-21 13:12 by zhukairuo
[考研] 085601调剂 358分 +3 zzzzggh 2026-03-20 4/200 2026-03-21 10:21 by luoyongfeng
信息提示
请填处理意见