| ²é¿´: 2358 | »Ø¸´: 9 | ||
zrh6гæ (СÓÐÃûÆø)
|
[ÇóÖú]
¸´·ÖÎö¿ÉÈ¥ÆæµãÎÊÌâ
|
|
ÈçͼËùʾ£¬Ê®ÈýÌ⣬лл ·¢×ÔСľ³æAndroid¿Í»§¶Ë |
» ²ÂÄãϲ»¶
272·Ö²ÄÁÏ×ÓÇóµ÷¼Á
ÒѾÓÐ36È˻ظ´
275Çóµ÷¼Á
ÒѾÓÐ8È˻ظ´
µ÷¼ÁÇóÊÕÁô
ÒѾÓÐ5È˻ظ´
Ò»Ö¾Ô¸211£¬»¯Ñ§Ñ§Ë¶£¬310·Ö£¬±¾¿ÆÖصãË«·Ç£¬Çóµ÷¼Á
ÒѾÓÐ20È˻ظ´
070300»¯Ñ§Ñ§Ë¶311·ÖÇóµ÷¼Á
ÒѾÓÐ19È˻ظ´
²ÄÁÏÓ뻯¹¤µ÷¼Á
ÒѾÓÐ13È˻ظ´
²ÄÁÏÓ뻯¹¤µ÷¼Á
ÒѾÓÐ33È˻ظ´
¸´ÊÔµ÷¼Á
ÒѾÓÐ7È˻ظ´
Ò»Ö¾Ô¸¹þ¹¤´ó 085600 277 12²Ä¿Æ»ùÇóµ÷¼Á
ÒѾÓÐ17È˻ظ´
»¹Óл¯¹¤¶þÂÖµ÷¼ÁµÄѧУÂð
ÒѾÓÐ47È˻ظ´
» ±¾Ö÷ÌâÏà¹Ø¼ÛÖµÌùÍÆ¼ö£¬¶ÔÄúͬÑùÓаïÖú:
¡¾×ªÌû¡¿Á÷ÌåÁ¦Ñ§µÄ·Ïßͼ£¨×ª×ÔÁ÷ÌåÖÐÎÄÍøÖÜ»ªµÄ²©¿Í£©
ÒѾÓÐ60È˻ظ´
alober
ľ³æ (ÖøÃûдÊÖ)
- ÊýѧEPI: 1
- Ó¦Öú: 18 (СѧÉú)
- ½ð±Ò: 22815.2
- ºì»¨: 25
- Ìû×Ó: 2681
- ÔÚÏß: 473.6Сʱ
- ³æºÅ: 3331731
- ×¢²á: 2014-07-20
|
ÏÂÃæ×öÁËһЩ¼ÙÉ裬¼ÙÉèAÊÇÕýµÄ£¬epsilonÊǸø¶¨µÄÊý¡£Áî$ $ |
» ±¾ÌûÒÑ»ñµÃµÄºì»¨£¨×îÐÂ10¶ä£©
2Â¥2017-06-21 21:00:09
zrh6
гæ (СÓÐÃûÆø)
- Ó¦Öú: 0 (Ó×¶ùÔ°)
- ½ð±Ò: 178.2
- ºì»¨: 1
- Ìû×Ó: 117
- ÔÚÏß: 31.2Сʱ
- ³æºÅ: 5517091
- ×¢²á: 2017-01-26
- ÐÔ±ð: GG
- רҵ: Á¦Ñ§ÖеĻù±¾ÎÊÌâºÍ·½·¨
3Â¥2017-06-21 21:14:17
zrh6
гæ (СÓÐÃûÆø)
- Ó¦Öú: 0 (Ó×¶ùÔ°)
- ½ð±Ò: 178.2
- ºì»¨: 1
- Ìû×Ó: 117
- ÔÚÏß: 31.2Сʱ
- ³æºÅ: 5517091
- ×¢²á: 2017-01-26
- ÐÔ±ð: GG
- רҵ: Á¦Ñ§ÖеĻù±¾ÎÊÌâºÍ·½·¨
4Â¥2017-06-21 21:16:05
alober
ľ³æ (ÖøÃûдÊÖ)
- ÊýѧEPI: 1
- Ó¦Öú: 18 (СѧÉú)
- ½ð±Ò: 22815.2
- ºì»¨: 25
- Ìû×Ó: 2681
- ÔÚÏß: 473.6Сʱ
- ³æºÅ: 3331731
- ×¢²á: 2014-07-20
|
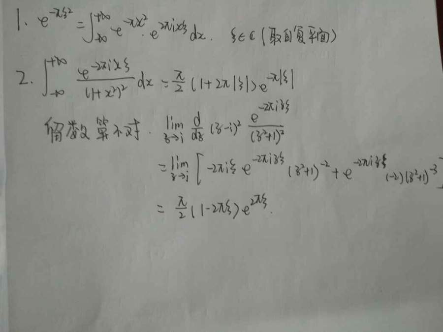
ÎÒÍüÁ˼ÓÏÂÃæÕâ¶Î»°ÁË£º £¨±¾ÌûÖÐͼƬÓÉcodecogsÉú³É£¬Èç¹ûÔÚÊÖ»úÉÏ¿´²»µ½£¬¿ÉÒÔÊÔÊÔÓõçÄÔ¿´¡£Èç¹ûÓõçÄÔÈÔÈ»¿´²»µ½Í¼£¬¿ÉÒÔÊÔÊ԰ѶÔÓ¦µÄ ip ·Åµ½ hosts ÎļþÀï¡£192.155.228.10 latex.codecogs.com£© ÒòΪÊÖ»úÉÏ¿ÉÄÜ¿´²»µ½ÓÉ codecogs Éú³ÉµÄͼ¡£ ǰһÌûÖÐËùÓÐ$·ûºÅ¶¼ÊǶàÓàµÄ£¬ÔÚת»»ÖгöÁË´íÎó£¬ÊÇÎÒ×Ô¼ºµÄÎÊÌâ¡£µ«Èç¹ûÓõçÄÔÄÜ¿´µ½Í¼Ê±£¬²»Ó°ÏìͼƬµÄÄÚÈÝ¡£ epsilon ÐèÒª¸ø¶¨£¬Ö»Òª¸ø¶¨¾Í¿ÉÒÔ£¬²»ÐèÒªÊǾßÌåµÄÊý£¬ÎÒµÄÖ¤Ã÷¹ý³ÌÖÐÐèÒªÓõ½ |z-z_0|^(epsilon) ÊÇÓнçµÄ¡£ |
5Â¥2017-06-21 21:22:24
zrh6
гæ (СÓÐÃûÆø)
- Ó¦Öú: 0 (Ó×¶ùÔ°)
- ½ð±Ò: 178.2
- ºì»¨: 1
- Ìû×Ó: 117
- ÔÚÏß: 31.2Сʱ
- ³æºÅ: 5517091
- ×¢²á: 2017-01-26
- ÐÔ±ð: GG
- רҵ: Á¦Ñ§ÖеĻù±¾ÎÊÌâºÍ·½·¨
6Â¥2017-06-21 21:36:09
zrh6
гæ (СÓÐÃûÆø)
- Ó¦Öú: 0 (Ó×¶ùÔ°)
- ½ð±Ò: 178.2
- ºì»¨: 1
- Ìû×Ó: 117
- ÔÚÏß: 31.2Сʱ
- ³æºÅ: 5517091
- ×¢²á: 2017-01-26
- ÐÔ±ð: GG
- רҵ: Á¦Ñ§ÖеĻù±¾ÎÊÌâºÍ·½·¨
7Â¥2017-06-21 21:43:19
zrh6
гæ (СÓÐÃûÆø)
- Ó¦Öú: 0 (Ó×¶ùÔ°)
- ½ð±Ò: 178.2
- ºì»¨: 1
- Ìû×Ó: 117
- ÔÚÏß: 31.2Сʱ
- ³æºÅ: 5517091
- ×¢²á: 2017-01-26
- ÐÔ±ð: GG
- רҵ: Á¦Ñ§ÖеĻù±¾ÎÊÌâºÍ·½·¨
Ëͺ컨һ¶ä |
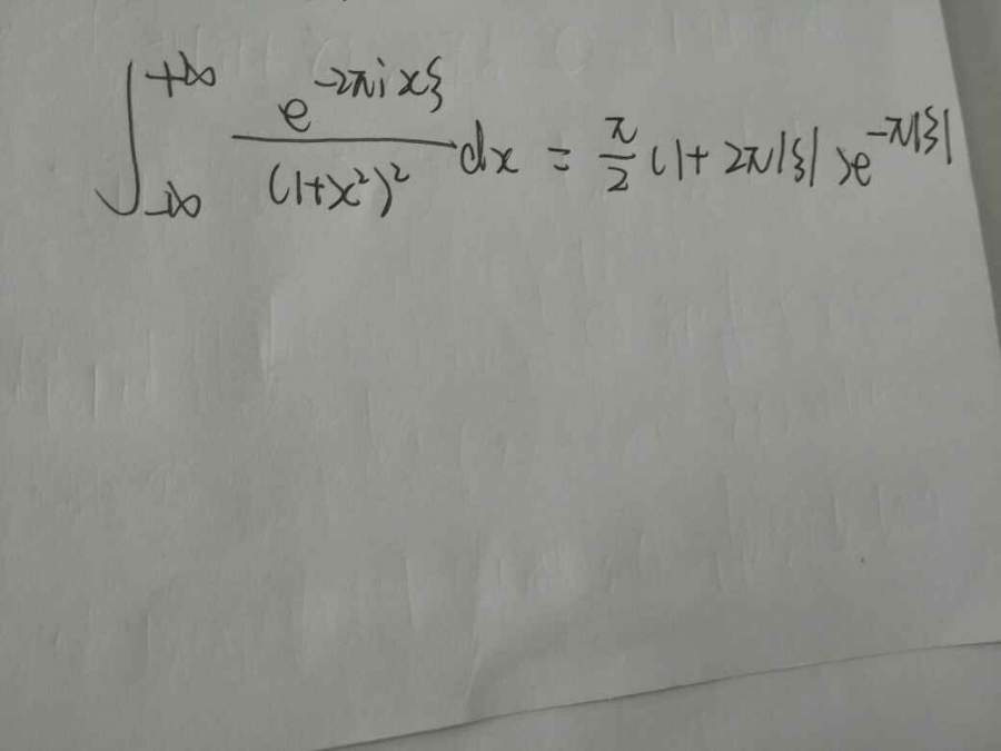
»¹ÓÐÕâ¸öÌ⣬µÚÒ»¸öͼ£¬µ±¦ÎȡʵÊýµÄʱºò»á×ö£¬È¡¸´ÊýµÄʱºòÄØ£¿ ÊDz»ÊÇÐèҪת»¯µ½ÊµÖáÉÏÀ´×ö?´óÉñÌáʾһϾÍÐУ¬¸Ð¼¤²»¾¡¡£ ×¢:µÚÒ»ÌâÊǵڶþÕµÚËÄÌâ¡£ µÚ¶þÕÅͼƬÉϵÄÁôÊýÔõô¶¼Ëã²»¶Ô ×¢:ÕâÊÇstein¸´·ÖÎöÉϵÄÌâÄ¿µÚÈýÕµÚÎåÌâ ·¢×ÔСľ³æAndroid¿Í»§¶Ë |
8Â¥2017-06-22 15:34:57
zrh6
гæ (СÓÐÃûÆø)
- Ó¦Öú: 0 (Ó×¶ùÔ°)
- ½ð±Ò: 178.2
- ºì»¨: 1
- Ìû×Ó: 117
- ÔÚÏß: 31.2Сʱ
- ³æºÅ: 5517091
- ×¢²á: 2017-01-26
- ÐÔ±ð: GG
- רҵ: Á¦Ñ§ÖеĻù±¾ÎÊÌâºÍ·½·¨
Ëͺ컨һ¶ä |
ÔÙÐÁ¿àÄúһϣ¬°ïÎÒ¿´¿´ÕâÁ½µÀÌâ µÚÒ»Ìâµ±¦ÎÈ¡×ÔʵÊýµÄʱºò»á×ö£¬È¡×Ô¸´ÊýµÄʱºòÄØ£¿ µÚ¶þÌâ¸Ð¾õºÍ´ð°¸ËãµÄ²»Ò»Ñù? ·¢×ÔСľ³æAndroid¿Í»§¶Ë |
9Â¥2017-06-22 15:42:15
alober
ľ³æ (ÖøÃûдÊÖ)
- ÊýѧEPI: 1
- Ó¦Öú: 18 (СѧÉú)
- ½ð±Ò: 22815.2
- ºì»¨: 25
- Ìû×Ó: 2681
- ÔÚÏß: 473.6Сʱ
- ³æºÅ: 3331731
- ×¢²á: 2014-07-20
10Â¥2017-06-22 18:20:33













»Ø¸´´ËÂ¥
10