24小时热门版块排行榜    

查看: 434  |  回复: 0

幻葬人形

新虫 (初入文坛)

[求助] 【求助】请问迁移率谱和费米面结构的对应方法

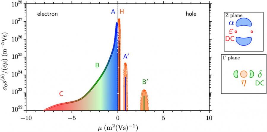
图片出自 http://iopscience.iop.org/article/10.1088/1367-2630/16/9/093062/meta;jsessionid=77B95E4DCA6CACC352CEC34072419EBA.c4.iopscience.cld.iop.org,其中左侧迁移率谱与右侧费米面结构中同色部分为相对应的部分

求问各位有没有哪篇文章中有类似的分析方法?或者说这种分析方法到底是基于怎样的标准?多谢!

【求助】请问迁移率谱和费米面结构的对应方法
无标题.png
回复此楼
已阅   回复此楼   关注TA 给TA发消息 送TA红花 TA的回帖
相关版块跳转 我要订阅楼主 幻葬人形 的主题更新
最具人气热帖推荐 [查看全部] 作者 回/看 最后发表
[考研] 求调剂一志愿武汉理工大学材料工程(085601) +3 WW.' 2026-03-23 5/250 2026-03-23 17:18 by 枫翼ljj
[考研] 上海电力大学材料防护与新材料重点实验室招收调剂研究生(材料、化学、电化学,环境) +3 我爱学电池 2026-03-23 3/150 2026-03-23 17:16 by AZMK
[考研] 333求调剂 +6 87639 2026-03-21 10/500 2026-03-23 10:41 by Iveryant
[考研] 求调剂材料学硕080500,总分289分 5+3 @taotao 2026-03-19 21/1050 2026-03-23 10:17 by 冠c哥
[考研] 311求调剂 +6 冬十三 2026-03-18 6/300 2026-03-22 20:18 by edmund7
[考研] 一志愿华中农业071010,总分320求调剂 +5 困困困困坤坤 2026-03-20 6/300 2026-03-22 17:41 by hxsm
[考研] 287求调剂 +8 晨昏线与星海 2026-03-19 9/450 2026-03-22 17:01 by i_cooler
[考研] 一志愿 西北大学 ,070300化学学硕,总分287,双非一本,求调剂。 +3 晨昏线与星海 2026-03-20 3/150 2026-03-22 16:00 by ColorlessPI
[考研] 求调剂院校信息 +6 CX 330 2026-03-21 6/300 2026-03-22 15:25 by 无懈可击111
[考研] 285求调剂 +6 ytter 2026-03-22 6/300 2026-03-22 12:09 by 星空星月
[考研] 资源与环境 调剂申请(333分) +5 holy J 2026-03-21 5/250 2026-03-21 22:42 by Catalysis25
[考研] 一志愿深大,0703化学,总分302,求调剂 +4 七月-七七 2026-03-21 4/200 2026-03-21 18:20 by 学员8dgXkO
[考研] 材料 271求调剂 +5 展信悦_ 2026-03-21 5/250 2026-03-21 17:29 by 学员8dgXkO
[考研] 材料专业求调剂 +6 hanamiko 2026-03-18 6/300 2026-03-21 00:24 by JourneyLucky
[考研] 274求调剂 +10 S.H1 2026-03-18 10/500 2026-03-20 23:51 by JourneyLucky
[考研] 材料与化工 322求调剂 +4 然11 2026-03-19 4/200 2026-03-20 22:12 by luoyongfeng
[考研] 一志愿苏州大学材料求调剂,总分315(英一) +5 sbdksD 2026-03-19 5/250 2026-03-20 22:10 by luoyongfeng
[考研] 329求调剂 +9 想上学吖吖 2026-03-19 9/450 2026-03-20 22:01 by luoyongfeng
[考研] 261求B区调剂,科研经历丰富 +3 牛奶很忙 2026-03-20 4/200 2026-03-20 19:34 by JourneyLucky
[考研] 一志愿中国海洋大学,生物学,301分,求调剂 +5 1孙悟空 2026-03-17 6/300 2026-03-19 23:46 by zcl123
信息提示
请填处理意见