| 查看: 915 | 回复: 3 | ||
[求助]
磁滞回线纽结 已有1人参与
|
|
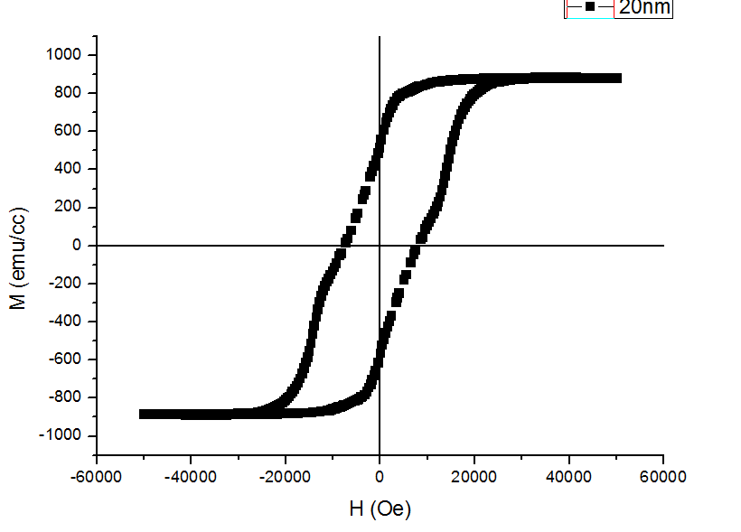
我测量了磁性薄膜材料的磁滞回线,但是在第三象限出现了纽结现象,求问各位大神如何解释?之前的样品在第二象限出现过纽结,可以解释为双磁性相行为,但是第三象限的真不知道怎么解释了。谢谢各位 1234.png |
» 猜你喜欢
材料科学与工程320求调剂,080500
已经有9人回复
0703化学调剂 348分
已经有10人回复
307求调剂
已经有12人回复
求调剂
已经有13人回复
一志愿211,0703化学305分求调剂
已经有15人回复
284求调剂
已经有14人回复
材料工程调剂
已经有5人回复
287求调剂
已经有12人回复
362求调剂
已经有12人回复
273求调剂
已经有42人回复
» 本主题相关商家推荐: (我也要在这里推广)
2楼2017-06-26 17:20:53
3楼2017-07-03 22:25:15
4楼2017-07-10 11:34:38














回复此楼