| ²é¿´: 2698 | »Ø¸´: 11 | ||
liyi098214Ìú³æ (СÓÐÃûÆø)
|
[ÇóÖú]
´ÅÖÍ»ØÏß·ÖÎö ÒÑÓÐ2È˲ÎÓë
|
|
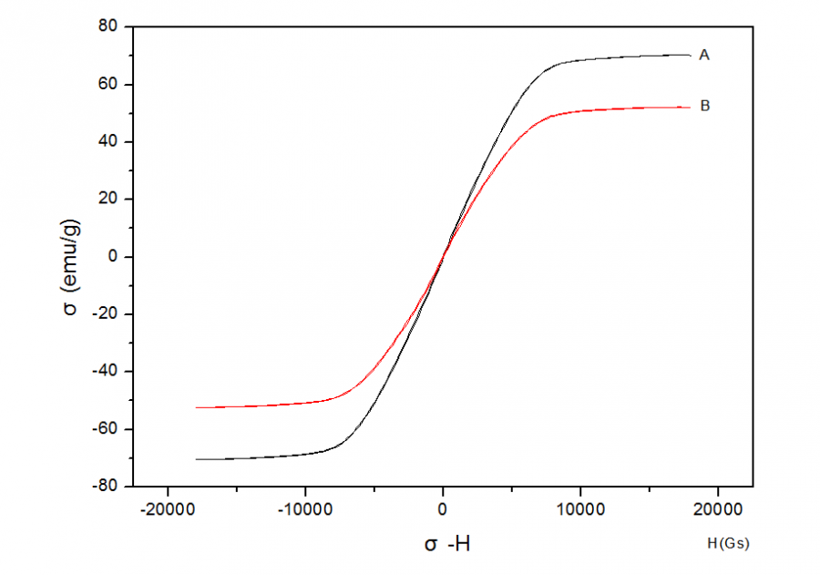
Èçͼ£¬ÕâÊÇijÎÛÄà¸ßÎÂÍÑÑõµÃµ½µÄ·ÛÄ©µÄ´ÅÖÍ»ØÏß¡£µ«ÊÇÕâ¸öÔõô·ÖÎöÄØ£¿Äܵóöʲô¶«Î÷ÄØ£¨±ÈÈçÕâ¸ö²ÄÁϵÄÐÔÄÜ£©£¿£¨xrd³É·ÖÊÇһЩºÏ½ð£¬±ÈÈçFe£¬Fe-CrµÈ£©¡£ÇóÖú£¬Ð»Ð»¸ñÎÆ´óÉñ 1497170319(1).jpg |
» ²ÂÄãϲ»¶
Ò»Ö¾Ô¸»ªÄÏʦ·¶´óѧ0702ÎïÀíѧ305µ÷¼Á
ÒѾÓÐ5È˻ظ´
Çóµ÷¼Á
ÒѾÓÐ30È˻ظ´
266Çóµ÷¼Á
ÒѾÓÐ10È˻ظ´
297Çóµ÷¼Á
ÒѾÓÐ16È˻ظ´
326·Ö£¬Ò»Ö¾Ô¸»¦9£¬ÇóÉúÎïѧµ÷¼Á
ÒѾÓÐ4È˻ظ´
288Çóµ÷¼Á£¬Ò»Ö¾Ô¸»ªÄÏÀí¹¤´óѧ071005
ÒѾÓÐ3È˻ظ´
304Çóµ÷¼Á
ÒѾÓÐ13È˻ظ´
µ÷¼Á
ÒѾÓÐ18È˻ظ´
293µ÷¼Á
ÒѾÓÐ4È˻ظ´
338Çóµ÷¼Á
ÒѾÓÐ7È˻ظ´
» ±¾Ö÷ÌâÏà¹ØÉ̼ÒÍÆ¼ö: (ÎÒÒ²ÒªÔÚÕâÀïÍÆ¹ã)
kangye_1989
ľ³æ (ÖøÃûдÊÖ)
- Ó¦Öú: 585 (²©Ê¿)
- ½ð±Ò: 1361.5
- É¢½ð: 50
- ºì»¨: 45
- Ìû×Ó: 1216
- ÔÚÏß: 149.1Сʱ
- ³æºÅ: 2737587
- ×¢²á: 2013-10-19
- רҵ: Äý¾Û̬ÎïÐÔ II £ºµç×ӽṹ
2Â¥2017-06-12 08:18:01
happyxiong
½ð³æ (СÓÐÃûÆø)
- Ó¦Öú: 17 (СѧÉú)
- ½ð±Ò: 1297.4
- É¢½ð: 168
- ºì»¨: 2
- Ìû×Ó: 183
- ÔÚÏß: 149.9Сʱ
- ³æºÅ: 3353881
- ×¢²á: 2014-08-05
- רҵ: Äý¾Û̬ÎïÐÔI:½á¹¹¡¢Á¦Ñ§ºÍ
3Â¥2017-06-12 17:23:27
liyi098214
Ìú³æ (СÓÐÃûÆø)
- Ó¦Öú: 0 (Ó×¶ùÔ°)
- ½ð±Ò: 3.7
- É¢½ð: 333
- ºì»¨: 2
- Ìû×Ó: 219
- ÔÚÏß: 41.9Сʱ
- ³æºÅ: 3888718
- ×¢²á: 2015-05-25
- ÐÔ±ð: GG
- רҵ: ÓÐÉ«½ðÊôÒ±½ð
4Â¥2017-06-12 23:16:16
liyi098214
Ìú³æ (СÓÐÃûÆø)
- Ó¦Öú: 0 (Ó×¶ùÔ°)
- ½ð±Ò: 3.7
- É¢½ð: 333
- ºì»¨: 2
- Ìû×Ó: 219
- ÔÚÏß: 41.9Сʱ
- ³æºÅ: 3888718
- ×¢²á: 2015-05-25
- ÐÔ±ð: GG
- רҵ: ÓÐÉ«½ðÊôÒ±½ð
5Â¥2017-06-12 23:17:39
liyi098214
Ìú³æ (СÓÐÃûÆø)
- Ó¦Öú: 0 (Ó×¶ùÔ°)
- ½ð±Ò: 3.7
- É¢½ð: 333
- ºì»¨: 2
- Ìû×Ó: 219
- ÔÚÏß: 41.9Сʱ
- ³æºÅ: 3888718
- ×¢²á: 2015-05-25
- ÐÔ±ð: GG
- רҵ: ÓÐÉ«½ðÊôÒ±½ð
6Â¥2017-06-13 00:55:52
happyxiong
½ð³æ (СÓÐÃûÆø)
- Ó¦Öú: 17 (СѧÉú)
- ½ð±Ò: 1297.4
- É¢½ð: 168
- ºì»¨: 2
- Ìû×Ó: 183
- ÔÚÏß: 149.9Сʱ
- ³æºÅ: 3353881
- ×¢²á: 2014-08-05
- רҵ: Äý¾Û̬ÎïÐÔI:½á¹¹¡¢Á¦Ñ§ºÍ
7Â¥2017-06-13 09:45:01
liyi098214
Ìú³æ (СÓÐÃûÆø)
- Ó¦Öú: 0 (Ó×¶ùÔ°)
- ½ð±Ò: 3.7
- É¢½ð: 333
- ºì»¨: 2
- Ìû×Ó: 219
- ÔÚÏß: 41.9Сʱ
- ³æºÅ: 3888718
- ×¢²á: 2015-05-25
- ÐÔ±ð: GG
- רҵ: ÓÐÉ«½ðÊôÒ±½ð
8Â¥2017-06-13 11:23:27
2015932048
гæ (СÓÐÃûÆø)
- Ó¦Öú: 1 (Ó×¶ùÔ°)
- ½ð±Ò: 445.2
- ºì»¨: 5
- Ìû×Ó: 96
- ÔÚÏß: 228.2Сʱ
- ³æºÅ: 4235197
- ×¢²á: 2015-11-21
- ÐÔ±ð: GG
- רҵ: Äý¾Û̬ÎïÐÔ II £ºµç×ӽṹ
9Â¥2017-06-14 14:14:36
ÓÖʱ
гæ (³õÈëÎÄ̳)
- Ó¦Öú: 0 (Ó×¶ùÔ°)
- ½ð±Ò: 16.5
- Ìû×Ó: 9
- ÔÚÏß: 3.6Сʱ
- ³æºÅ: 4998048
- ×¢²á: 2016-09-09
- רҵ: Ó¦Óø߷Ö×Ó»¯Ñ§ÓëÎïÀí
10Â¥2017-06-26 17:23:08














»Ø¸´´ËÂ¥