| 查看: 7302 | 回复: 7 | ||
jiayaowang新虫 (初入文坛)
|
[求助]
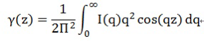
SAXS数据处理,如何通过i-q曲线获得一维相关函数
|
|
SAXS数据处理,已经获得了i-q曲线,请问一下如果转化为一维相关函数K(q)-z 发自小木虫IOS客户端 |
» 猜你喜欢
求调剂院校信息
已经有4人回复
085600材料与化工306
已经有4人回复
286求调剂
已经有10人回复
328求调剂,英语六级551,有科研经历
已经有9人回复
一志愿北京化工大学070300 学硕336求调剂
已经有4人回复
286分人工智能专业请求调剂愿意跨考!
已经有8人回复
资源与环境 调剂申请(333分)
已经有5人回复
280求调剂
已经有12人回复
269专硕求调剂
已经有5人回复
材料学硕301分求调剂
已经有7人回复
jiayaowang
新虫 (初入文坛)
- 应助: 0 (幼儿园)
- 金币: 123.2
- 散金: 5
- 帖子: 30
- 在线: 10.8小时
- 虫号: 4933569
- 注册: 2016-08-21
- 性别: GG
- 专业: 功能与智能高分子
2楼2017-06-09 13:36:13
summermumu
金虫 (小有名气)
- 应助: 0 (幼儿园)
- 金币: 1097
- 帖子: 62
- 在线: 105.6小时
- 虫号: 1060681
- 注册: 2010-07-19
- 性别: GG
- 专业: 金属结构材料
3楼2017-06-30 11:08:29
4楼2017-07-20 21:49:18
5楼2018-01-08 13:55:14
6楼2018-01-22 16:14:31
nanadonghua
木虫 (正式写手)
- 应助: 2 (幼儿园)
- 金币: 3168.3
- 散金: 25
- 红花: 3
- 帖子: 314
- 在线: 57.1小时
- 虫号: 1697169
- 注册: 2012-03-17
- 专业: 无机合成和制备化学
7楼2018-08-08 07:26:21
8楼2023-06-27 17:06:26













回复此楼