| ²é¿´: 1451 | »Ø¸´: 3 | |
zhuang1017Ìú³æ (СÓÐÃûÆø)
|
[ÇóÖú]
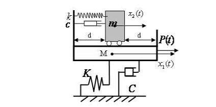
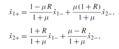
¼ä϶ÅöײÕñ¶¯matlab±à³ÌÇóÖú ÒÑÓÐ1È˲ÎÓë
|
|
|
|
ftc_¼òµ¥Òø³æ (ÕýʽдÊÖ)
|
|
![]() |
|
|
2Â¥2017-06-08 15:36:23
|
|
zhuang1017Ìú³æ (СÓÐÃûÆø)
|
|
|
3Â¥2017-06-08 15:42:13
|
|
zhuang1017Ìú³æ (СÓÐÃûÆø)
|
|
|
4Â¥2017-06-08 15:42:31
|
|














»Ø¸´´ËÂ¥
