| ²é¿´: 1257 | »Ø¸´: 0 | ||
-Í«Ýæ-гæ (³õÈëÎÄ̳)
|
[ÇóÖú]
²»»áÓÃGaussian¼ÆËãpoav½á¹û²é¿´ÄÜÁ¿
|
|
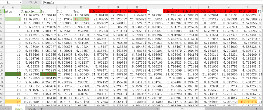
Ò»ÏÂÁ½ÕÅͼÊǽØÍ¼£¬Ï£Íû¸æÖªÔõô¿´Êý¾Ý£¬ÕÒµ½ÄÜÁ¿½øÐмӺͣ¬ÕÒ³ö×îµÍµÄÄÜÁ¿¡£×îºÃÄܹ»ÊǽØÍ¼¸æÖª£¬°ÝÍи÷λ´óÉñ£¬¼±Çó°¡£¡£¡£¡ ±í¸ñ.png ±í¸ñ.png ·Ö×ӽṹ20.png ·Ö×Ӽӳɽṹ1.png |
» ²ÂÄãϲ»¶
303Çóµ÷¼Á
ÒѾÓÐ3È˻ظ´
ÓÐûÓеÀÌú/ÍÁľµÄÏëµ÷¼ÁÄÏÁÖ£¬¸ø×Ô¼ºÕÐʦµÜÖС«
ÒѾÓÐ7È˻ظ´
Áº³ÉΰÀÏʦ¿ÎÌâ×é»¶ÓÄãµÄ¼ÓÈë
ÒѾÓÐ10È˻ظ´
Ò»Ö¾Ô¸ËÕÖÝ´óѧ²ÄÁϹ¤³Ì£¨085601£©×¨Ë¶ÓпÆÑоÀúÈýÏî¹ú½±Á½¸öʵÓÃÐÍרÀûÒ»ÏîÊ¡¼¶Á¢Ïî
ÒѾÓÐ8È˻ظ´
070300»¯Ñ§319Çóµ÷¼Á
ÒѾÓÐ3È˻ظ´
Ò»Ö¾Ô¸Ìì½ò´óѧ»¯Ñ§¹¤ÒÕרҵ£¨081702£©315·ÖÇóµ÷¼Á
ÒѾÓÐ4È˻ظ´
268Çóµ÷¼Á
ÒѾÓÐ7È˻ظ´
290Çóµ÷¼Á
ÒѾÓÐ11È˻ظ´
²ÄÁÏÓ뻯¹¤Çóµ÷¼Á
ÒѾÓÐ4È˻ظ´
293Çóµ÷¼Á
ÒѾÓÐ11È˻ظ´













»Ø¸´´ËÂ¥