| 查看: 2305 | 回复: 15 | ||
[求助]
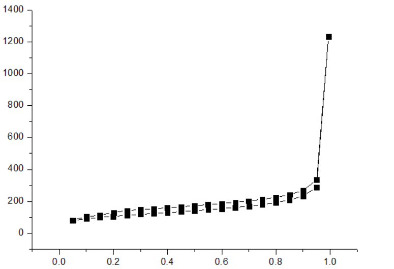
氮气吸脱附曲线相对压力快到1的时候突然有一个突变,吸附量增大了一千多是怎么回事 已有2人参与
|
||
|
|
||
| 回帖支持 ( 显示支持度最高的前 50 名 ) | ||
舞老三铁杆木虫 (知名作家)
|
||
![]() |
||
|
12楼2017-06-05 15:16:34
|
|
|
| 普通回帖 | ||
sqzhao铁杆木虫 (著名写手)
|
||
![]() |
||
|
2楼2017-06-03 09:26:12
|
|
|
|
3楼2017-06-03 11:33:20
|
|
|
sqzhao铁杆木虫 (著名写手)
|
||
![]() |
||
|
4楼2017-06-03 11:34:34
|
|
|
sqzhao铁杆木虫 (著名写手)
|
||
![]() |
||
|
5楼2017-06-03 11:39:32
|
|
|
|
6楼2017-06-03 11:49:28
|
|
|
sqzhao铁杆木虫 (著名写手)
|
【答案】应助回帖
|
|
![]() |
||
|
7楼2017-06-03 11:54:13
|
|
|
|
8楼2017-06-03 12:20:46
|
|
|
sqzhao铁杆木虫 (著名写手)
|
||
![]() |
||
|
9楼2017-06-03 12:27:27
|
|
|
舞老三铁杆木虫 (知名作家)
|
||
![]() |
||
|
10楼2017-06-04 20:11:13
|
|
|













回复此楼

30