| ²é¿´: 535 | »Ø¸´: 1 | ||
| ¡¾ÐüÉͽð±Ò¡¿»Ø´ð±¾ÌûÎÊÌ⣬×÷Õßhsq101595½«ÔùËÍÄú 100 ¸ö½ð±Ò | ||
hsq101595гæ (³õÈëÎÄ̳)
|
[ÇóÖú]
Çó·ÖÎöÒ»ÕÅͼ
|
|
|
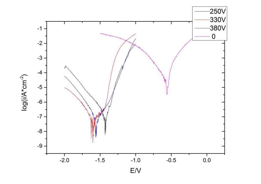
ÕâÊǵ绯ѧ¸¯Ê´¼«»¯ÇúÏߣ¬Õâ¸öͼ¸ÃÔõô·ÖÎöÄØ£¿ ·¢×ÔСľ³æAndroid¿Í»§¶Ë |
» ²ÂÄãϲ»¶
Ò»Ö¾Ô¸085404£¬×Ü·Ö291£¬Ëļ¶Òѹý£¬Çóµ÷¼Á
ÒѾÓÐ9È˻ظ´
285Çóµ÷¼Á
ÒѾÓÐ6È˻ظ´
266Çóµ÷¼Á
ÒѾÓÐ8È˻ظ´
²ÄÁÏר˶µ÷¼Á
ÒѾÓÐ9È˻ظ´
»¯Ñ§¹¤³Ìµ÷¼Á289
ÒѾÓÐ21È˻ظ´
»úеµ÷¼Á
ÒѾÓÐ3È˻ظ´
368»¯Ñ§Çóµ÷¼Á
ÒѾÓÐ4È˻ظ´
0703µ÷¼Á£¬Ò»Ö¾Ô¸Ìì½ò´óѧ319·Ö
ÒѾÓÐ21È˻ظ´
0854µç×ÓÐÅÏ¢319Çóµ÷¼Á£¨½ÓÊÜ¿çרҵµ÷¼Á£©
ÒѾÓÐ6È˻ظ´
µ÷¼Á
ÒѾÓÐ15È˻ظ´
ĮӰÌìºÛ
гæ (ÖøÃûдÊÖ)
- Ó¦Öú: 0 (Ó×¶ùÔ°)
- ½ð±Ò: 4884.9
- É¢½ð: 933
- ºì»¨: 9
- ɳ·¢: 2
- Ìû×Ó: 1509
- ÔÚÏß: 556.2Сʱ
- ³æºÅ: 3462347
- ×¢²á: 2014-10-09
- ÐÔ±ð: GG
- רҵ: Óлú¸ß·Ö×Ó¹¦ÄܲÄÁÏ
2Â¥2017-05-29 00:13:58














»Ø¸´´ËÂ¥