| ²é¿´: 1880 | »Ø¸´: 4 | |
ľ·²1993гæ (СÓÐÃûÆø)
|
[ÇóÖú]
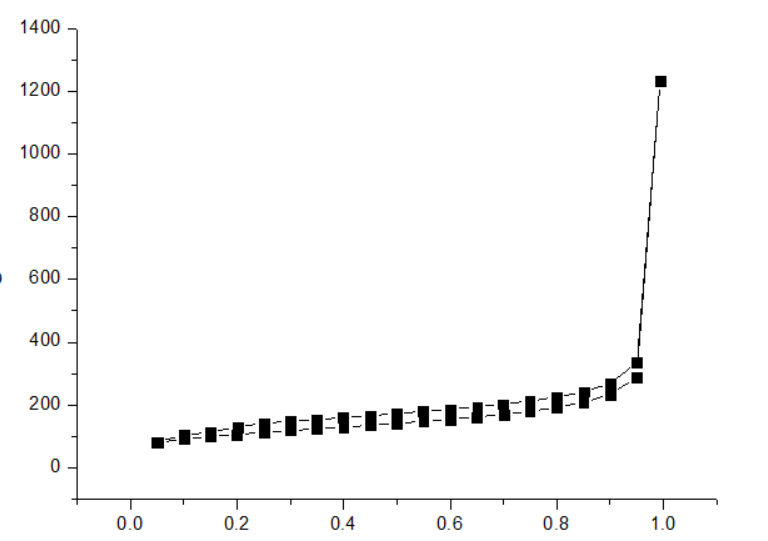
BETÊý¾ÝÀïÏà¶ÔѹÁ¦¿ìµ½1µÄʱºòͻȻÓÐÒ»¸öÍ»±ä£¬Îü¸½Á¿Ôö´óÁËһǧ¶àÊÇÔõô»ØÊ ÒÑÓÐ1È˲ÎÓë
|
|
|
|
yin976849174гæ (СÓÐÃûÆø)
|
|
|
2Â¥2017-05-27 14:56:52
|
|
°×ˮɽʯ¾èÖú¹ó±ö (ÖøÃûдÊÖ)
|
|
|
3Â¥2017-05-27 15:35:54
|
|
ľ·²1993гæ (СÓÐÃûÆø)
|
|
|
4Â¥2017-06-01 17:19:25
|
|
ľ·²1993гæ (СÓÐÃûÆø)
|
|
|
5Â¥2017-06-01 18:00:06
|
|














»Ø¸´´ËÂ¥
