| 查看: 1162 | 回复: 1 | ||
savoki大王银虫 (正式写手)
|
[求助]
贝塞尔函数积分问题
|
|
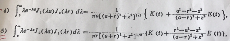
如图,这两个贝塞尔函数的积分如何化到最后以完全椭圆函数表示?谢谢各位了 发自小木虫IOS客户端 |
» 猜你喜欢
求调剂
已经有3人回复
265求调剂
已经有4人回复
085700资源与环境308求调剂
已经有6人回复
一志愿吉林大学材料学硕321求调剂
已经有12人回复
286分人工智能专业请求调剂愿意跨考!
已经有3人回复
329求调剂
已经有5人回复
申请回稿延期一个月,编辑同意了。但系统上的时间没变,给编辑又写邮件了,没回复
已经有4人回复
材料学硕318求调剂
已经有5人回复
一志愿中国海洋大学,生物学,301分,求调剂
已经有6人回复
081700化工学硕调剂
已经有3人回复
savoki大王
银虫 (正式写手)
- 应助: 0 (幼儿园)
- 金币: 925.4
- 散金: 550
- 帖子: 365
- 在线: 79.8小时
- 虫号: 4000056
- 注册: 2015-07-31
- 性别: GG
- 专业: 岩土与基础工程
2楼2017-05-25 11:50:00













回复此楼