| 查看: 4496 | 回复: 8 | ||
lanzi084305金虫 (正式写手)
|
[求助]
MOSFET 或者说TFT 输出转移曲线问题 Vth 阈值电压怎么判断是0了呢?
|
|
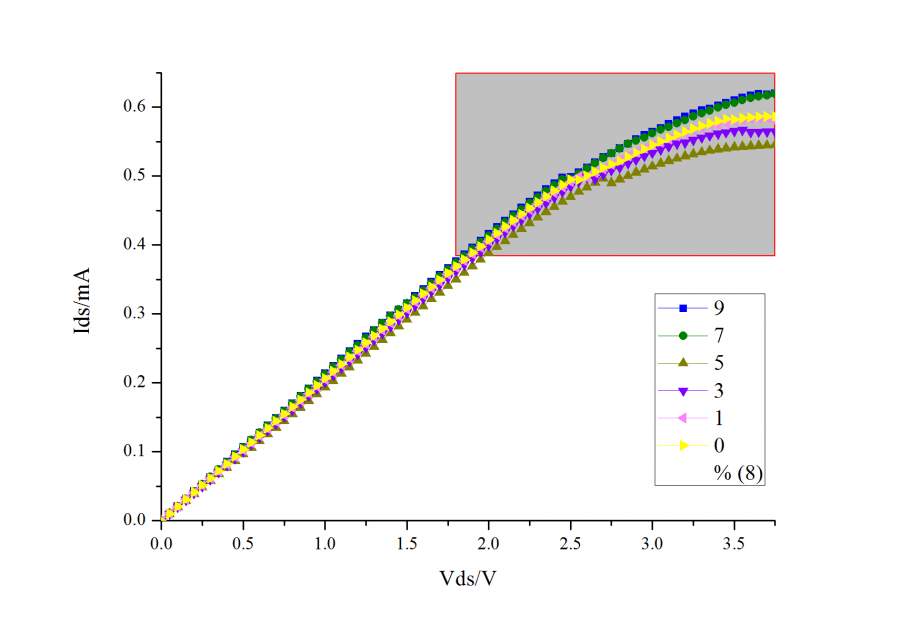
刚接触场效应管 ,TFT或者MOSFET 里 通过这个转移曲线,老师说Vth为零,找了一圈也看不出来,求解了 所加偏压是6v 如果不是根据转移曲线来的,是因为输出曲线吗?怎么能说明Vth为零呢? 这个性能好不好也很蒙,多回答多金币哈! 转移曲线.jpg 输出曲线.jpg |
» 猜你喜欢
售SCI一区文章,我:8 O5 51O 54,科目齐全,可+急
已经有6人回复
售SCI一区文章,我:8 O5 51O 54,科目齐全,可+急
已经有10人回复
售SCI一区文章,我:8 O5 51O 54,科目齐全,可+急
已经有8人回复
售SCI一区文章,我:8 O5 51O 54,科目齐全,可+急
已经有10人回复
售SCI一区文章,我:8 O5 51O 54,科目齐全,可+急
已经有11人回复
依托企业入选了国家启明计划青年人才。有无高校可以引进的。
已经有14人回复
表哥与省会女结婚,父母去帮带孩子被省会女气回家生重病了
已经有11人回复
江汉大学解明教授课题组招博士研究生/博士后
已经有3人回复
AI 太可怕了,写基金时,提出想法,直接生成的文字比自己想得深远,还有科学性
已经有11人回复
同年申请2项不同项目,第1个项目里不写第2个项目的信息,可以吗
已经有10人回复
2楼2017-05-25 15:45:19
zirenfly
木虫 (小有名气)
- 应助: 12 (小学生)
- 金币: 1792.3
- 红花: 2
- 帖子: 217
- 在线: 52.4小时
- 虫号: 2594416
- 注册: 2013-08-13
- 性别: GG
- 专业: 半导体电子器件
【答案】应助回帖
★ ★ ★ ★ ★
感谢参与,应助指数 +1
lanzi084305: 金币+5, ★★★很有帮助, 开关比是只看Ids-Vgs 的是吗?记得有一个参数是Ids-Vds里面饱和电流除以一个Ion ,这是什么值呢? 2017-05-26 18:43:49
感谢参与,应助指数 +1
lanzi084305: 金币+5, ★★★很有帮助, 开关比是只看Ids-Vgs 的是吗?记得有一个参数是Ids-Vds里面饱和电流除以一个Ion ,这是什么值呢? 2017-05-26 18:43:49
|
你这是硅器件吗,器件性能很差,开关比基本为1,连一个数量级都没有,输出基本分不开,载流子浓度太大 求阈值电压是用转移曲线的 Ids^(1/2)-Vgs 曲线,即 Ids 开根号后,以栅压为横坐标作图,取此曲线的切线与横坐标的截距即为Vth 给你篇文章看看The annealingeffectsonthepropertiesofsolution-processedalumina thin film anditsapplicationinTFTs |

3楼2017-05-26 10:32:03
zirenfly
木虫 (小有名气)
- 应助: 12 (小学生)
- 金币: 1792.3
- 红花: 2
- 帖子: 217
- 在线: 52.4小时
- 虫号: 2594416
- 注册: 2013-08-13
- 性别: GG
- 专业: 半导体电子器件

4楼2017-06-01 10:10:18
lanzi084305
金虫 (正式写手)
- 应助: 14 (小学生)
- 金币: 1086.9
- 散金: 31
- 红花: 1
- 帖子: 553
- 在线: 177.3小时
- 虫号: 1232976
- 注册: 2011-03-14
- 性别: MM
- 专业: 半导体材料
5楼2017-06-01 17:59:57
zirenfly
木虫 (小有名气)
- 应助: 12 (小学生)
- 金币: 1792.3
- 红花: 2
- 帖子: 217
- 在线: 52.4小时
- 虫号: 2594416
- 注册: 2013-08-13
- 性别: GG
- 专业: 半导体电子器件

6楼2017-06-02 09:15:35
lanzi084305
金虫 (正式写手)
- 应助: 14 (小学生)
- 金币: 1086.9
- 散金: 31
- 红花: 1
- 帖子: 553
- 在线: 177.3小时
- 虫号: 1232976
- 注册: 2011-03-14
- 性别: MM
- 专业: 半导体材料
7楼2017-06-02 09:18:28
zirenfly
木虫 (小有名气)
- 应助: 12 (小学生)
- 金币: 1792.3
- 红花: 2
- 帖子: 217
- 在线: 52.4小时
- 虫号: 2594416
- 注册: 2013-08-13
- 性别: GG
- 专业: 半导体电子器件

8楼2017-06-02 14:49:45
foria
银虫 (小有名气)
- 应助: 1 (幼儿园)
- 金币: 1301.4
- 散金: 28
- 红花: 1
- 帖子: 282
- 在线: 91.1小时
- 虫号: 1088427
- 注册: 2010-09-03
- 性别: GG
- 专业: 无机非金属类光电信息与功
9楼2017-06-21 21:32:54













回复此楼