| 查看: 941 | 回复: 5 | |||
[求助]
考研数学题已有3人参与
|
|
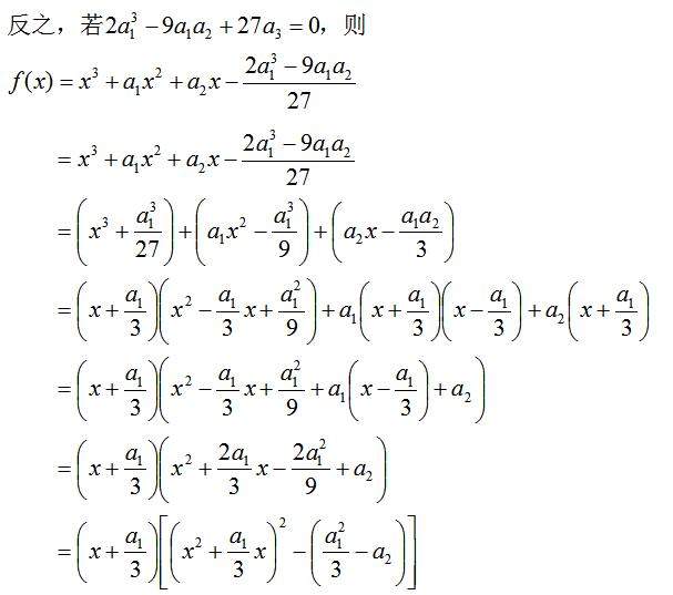
三次方程x^3+a1x^2+a2x+a3=0的三个根成等差数列的充要条件是? 发自小木虫Android客户端 |
» 猜你喜欢
请问哪里可以有青B申请的本子可以借鉴一下。
已经有5人回复
到新单位后,换了新的研究方向,没有团队,持续积累2区以上论文,能申请到面上吗
已经有7人回复
申请2026年博士
已经有5人回复
天津工业大学郑柳春团队欢迎化学化工、高分子化学或有机合成方向的博士生和硕士生加入
已经有5人回复
寻求一种能扛住强氧化性腐蚀性的容器密封件
已经有6人回复
2025冷门绝学什么时候出结果
已经有7人回复
请问有评职称,把科研教学业绩算分排序的高校吗
已经有6人回复
Bioresource Technology期刊,第一次返修的时候被退回好几次了
已经有7人回复
请问下大家为什么这个铃木偶联几乎不反应呢
已经有5人回复
康复大学泰山学者周祺惠团队招收博士研究生
已经有6人回复
» 本主题相关商家推荐: (我也要在这里推广)
peterflyer
木虫之王 (文学泰斗)
peterflyer
- 数学EPI: 10
- 应助: 20282 (院士)
- 金币: 145683
- 红花: 1374
- 帖子: 93066
- 在线: 7693.7小时
- 虫号: 1482829
- 注册: 2011-11-08
- 性别: GG
- 专业: 功能陶瓷
2楼2017-05-19 18:54:57
终之太刀—晓
铁杆木虫 (著名写手)
数学爱好者
- 数学EPI: 7
- 应助: 282 (大学生)
- 贵宾: 0.018
- 金币: 2934.2
- 散金: 5589
- 红花: 53
- 帖子: 1809
- 在线: 401.6小时
- 虫号: 3469007
- 注册: 2014-10-12
- 性别: MM
- 专业: 偏微分方程

3楼2017-05-19 23:34:05
hylpy
专家顾问 (知名作家)
唵嘛呢叭咪吽
-

专家经验: +2500 - 数学EPI: 7
- 应助: 381 (硕士)
- 贵宾: 0.167
- 金币: 51105.4
- 散金: 5568
- 红花: 410
- 帖子: 5093
- 在线: 1102.4小时
- 虫号: 3247778
- 注册: 2014-06-01
- 性别: GG
- 专业: 函数论
- 管辖: 数学

4楼2017-05-23 16:20:59
依稀有我
木虫 (正式写手)
- 应助: 0 (幼儿园)
- 金币: 3102.4
- 散金: 150
- 红花: 3
- 帖子: 564
- 在线: 183.5小时
- 虫号: 4377205
- 注册: 2016-01-23
- 性别: GG
- 专业: 结构工程
5楼2017-05-23 16:47:32
终之太刀—晓
铁杆木虫 (著名写手)
数学爱好者
- 数学EPI: 7
- 应助: 282 (大学生)
- 贵宾: 0.018
- 金币: 2934.2
- 散金: 5589
- 红花: 53
- 帖子: 1809
- 在线: 401.6小时
- 虫号: 3469007
- 注册: 2014-10-12
- 性别: MM
- 专业: 偏微分方程

6楼2017-05-23 21:28:10













回复此楼