24小时热门版块排行榜    

Znn3bq.jpeg
查看: 247  |  回复: 0

xiaofengy

木虫 (正式写手)

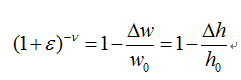
[求助] 力学问题求助

求图中公式推导过程(材料横向受拉, w为宽度,h为高度,v为材料泊松比, ε =∆l/l 拉伸方向应变),谢谢!

力学问题求助
1234.png
回复此楼

» 猜你喜欢

» 本主题相关商家推荐: (我也要在这里推广)

已阅   回复此楼   关注TA 给TA发消息 送TA红花 TA的回帖
相关版块跳转 我要订阅楼主 xiaofengy 的主题更新
最具人气热帖推荐 [查看全部] 作者 回/看 最后发表
[考研] 313求调剂 +5 余摆摆是大哥 2026-04-11 5/250 2026-04-12 10:34 by 猪会飞
[考研] 一志愿华中农微生物,288分,三年实验经历 +11 代fish 2026-04-09 11/550 2026-04-12 10:21 by Hayaay
[考研] 药学专硕调剂 +8 ? 一路生?花? 2026-04-10 10/500 2026-04-11 21:21 by zhouxiaoyu
[考研] 288求调剂,一志愿华南理工大学071005 +18 ioodiiij 2026-04-08 18/900 2026-04-11 20:25 by liyun12321
[考研] 293求调剂 +8 勇远库爱314 2026-04-06 8/400 2026-04-11 20:25 by 蓝云思雨
[考研] 269求调剂 +11 啊啊我我 2026-04-07 11/550 2026-04-11 16:45 by vgtyfty
[考研] 调剂求助 +6 果然有我 2026-04-11 7/350 2026-04-11 16:22 by 明月此时有
[考研] 298求调剂 +9 钉叮咚冬瓜 2026-04-07 11/550 2026-04-11 09:35 by zhq0425
[考研] 302分求调剂 +9 凡语祈愿 2026-04-08 10/500 2026-04-10 23:26 by 314126402
[考研] 263能源动力专硕求调剂 +3 加大号饭盒袋 2026-04-10 3/150 2026-04-10 22:23 by 286640313
[考研] 289 分105500药学专硕求调剂(找B区学校) +6 白云123456789 2026-04-09 8/400 2026-04-10 21:13 by zhouxiaoyu
[考研] 求调剂 +5 不会飞的鱼@ 2026-04-10 5/250 2026-04-10 19:07 by chemisry
[论文投稿] mdpi小修rvr时间四五天了 20+3 哈哈high 2026-04-08 5/250 2026-04-10 16:02 by 北京莱茵润色
[考研] 调剂 +19 不逢春 2026-04-05 20/1000 2026-04-10 10:15 by may_新宇
[考研] 292求调剂 +9 笑笑袁 2026-04-09 9/450 2026-04-10 10:05 by LHGeng
[考研] 一志愿华工085600 331分 +6 天下ww 2026-04-09 6/300 2026-04-09 18:59 by l_paradox
[考研] 085801 总分275 本科新能源 求调剂 +8 bradoner 2026-04-08 9/450 2026-04-09 13:43 by only周
[考研] 招收有机化学、化工,药学,食品灯专业学生 +3 yrfhjgdj 2026-04-08 3/150 2026-04-09 10:15 by QYQX_123
[考研] 土木水利专硕276分求调剂 +6 我想上学!!6 2026-04-05 9/450 2026-04-08 17:45 by 宋小宝HQ
[考研] 338求调剂 +5 小猪红色 678 2026-04-06 6/300 2026-04-07 21:18 by 乔哒哒哒
信息提示
请填处理意见