| ²é¿´: 1313 | »Ø¸´: 1 | ||
СС·Û˿гæ (³õÈëÎÄ̳)
|
[ÇóÖú]
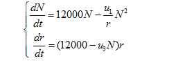
΢·Ö·½³Ì×éµÄ²ÎÊýÄâºÏ³ÌÐò
|
|
Çó°ïÖú£¬²ÎÊýΪu1,u3 ·¢×ÔСľ³æAndroid¿Í»§¶Ë |
» ²ÂÄãϲ»¶
272·Ö²ÄÁÏ×ÓÇóµ÷¼Á
ÒѾÓÐ36È˻ظ´
275Çóµ÷¼Á
ÒѾÓÐ8È˻ظ´
µ÷¼ÁÇóÊÕÁô
ÒѾÓÐ5È˻ظ´
Ò»Ö¾Ô¸211£¬»¯Ñ§Ñ§Ë¶£¬310·Ö£¬±¾¿ÆÖصãË«·Ç£¬Çóµ÷¼Á
ÒѾÓÐ20È˻ظ´
070300»¯Ñ§Ñ§Ë¶311·ÖÇóµ÷¼Á
ÒѾÓÐ19È˻ظ´
²ÄÁÏÓ뻯¹¤µ÷¼Á
ÒѾÓÐ13È˻ظ´
²ÄÁÏÓ뻯¹¤µ÷¼Á
ÒѾÓÐ33È˻ظ´
¸´ÊÔµ÷¼Á
ÒѾÓÐ7È˻ظ´
Ò»Ö¾Ô¸¹þ¹¤´ó 085600 277 12²Ä¿Æ»ùÇóµ÷¼Á
ÒѾÓÐ17È˻ظ´
»¹Óл¯¹¤¶þÂÖµ÷¼ÁµÄѧУÂð
ÒѾÓÐ47È˻ظ´
ÖÕ̫֮µ¶¡ªÏþ
Ìú¸Ëľ³æ (ÖøÃûдÊÖ)
Êýѧ°®ºÃÕß
- ÊýѧEPI: 7
- Ó¦Öú: 282 (´óѧÉú)
- ¹ó±ö: 0.018
- ½ð±Ò: 2934.2
- É¢½ð: 5589
- ºì»¨: 53
- Ìû×Ó: 1809
- ÔÚÏß: 401.6Сʱ
- ³æºÅ: 3469007
- ×¢²á: 2014-10-12
- ÐÔ±ð: MM
- רҵ: ƫ΢·Ö·½³Ì

2Â¥2017-05-19 08:51:03













»Ø¸´´ËÂ¥