| ²é¿´: 387 | »Ø¸´: 1 | ||
ÐÇÒ¹Ñôгæ (³õÈëÎÄ̳)
|
[ÇóÖú]
ÇóÁ¢·½ÐÍ״̬·½³ÌÖеÄV(ÓÃC#)
|
|
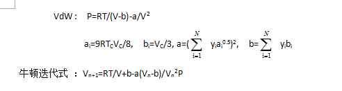
Çó½Ì¸÷·´óÉñ£¬ÎÒÕâÀïÓÐÁ½¸ö¸öÁ¢·½ÐÍ״̬·½³Ì£¬Tc¡¢Pc¡¢¦Ø¡¢yi¡¢P¡¢T¶¼ÊÇÊäÈëµÄÊý¾Ý£¬R=8.314£¬ÇëÎÊÈçºÎÓÃvisual studio±àд´úÂ룬²ÅÄܹ»Çó³ö·½³ÌÖеÄV? ÎÒ¶ÔÓÚvisual studioʲô¶¼²»»á£¬Çó´óÉñÄܹ»Ö±½Ó¸øÎÒ´úÂ룬Íò·Ö¸Ðлѽ£¬ÕâÈý¸ö·½³ÌÊÇÎÒ±ÏÒµÉè¼ÆµÄºËÐIJ¿·Ö£¬¹òÇë´ó¼Ò°ïæ°¡£¬Òª²»È»±Ï²»ÁËÒµÀ² ·¢×ÔСľ³æAndroid¿Í»§¶Ë |
» ²ÂÄãϲ»¶
²ÄÁÏÇóµ÷¼Á
ÒѾÓÐ11È˻ظ´
¡¾Çóµ÷¼Á¡¿ÐÂÄÜÔ´²ÄÁϱ¾¿Æ£¬Ò»Ö¾Ô¸211£¬³õÊÔ321
ÒѾÓÐ4È˻ظ´
336Çóµ÷¼Á
ÒѾÓÐ5È˻ظ´
²ÄÁÏÇóµ÷¼Á
ÒѾÓÐ8È˻ظ´
²ÄÁϹ¤³Ì322·Ö
ÒѾÓÐ7È˻ظ´
²ÄÁÏ¿¼Ñе÷¼Á
ÒѾÓÐ5È˻ظ´
ÉúÎïѧ308·ÖÇóµ÷¼Á£¨Ò»Ö¾Ô¸»ª¶«Ê¦´ó£©
ÒѾÓÐ4È˻ظ´
ÇóÉúÎïѧµ÷¼Á
ÒѾÓÐ8È˻ظ´
08ÉúÎïÓëҽҩר˶³õÊÔ346ÕÒµ÷¼Á
ÒѾÓÐ6È˻ظ´
ÉúÎïѧ327£¬Çóµ÷¼Á
ÒѾÓÐ6È˻ظ´
zhouxiaochun
Ìú¸Ëľ³æ (ÕýʽдÊÖ)
- Ó¦Öú: 57 (³õÖÐÉú)
- ½ð±Ò: 8946.8
- ºì»¨: 15
- Ìû×Ó: 622
- ÔÚÏß: 241.8Сʱ
- ³æºÅ: 551545
- ×¢²á: 2008-04-27
- ÐÔ±ð: GG
- רҵ: »¯Ñ§¹¤³Ì¼°¹¤Òµ»¯Ñ§
¡ï
jjdg: ½ð±Ò+1, ¸Ðл²ÎÓë 2017-05-16 20:49:45
jjdg: ½ð±Ò+1, ¸Ðл²ÎÓë 2017-05-16 20:49:45
|
µü´ú¹«Ê½¶¼ÓÐÁË£¬»áµãcÓïÑÔ»òvbµÄÓ¦¸ÃÄÜдµÄ³öÀ´ ·¢×ÔСľ³æAndroid¿Í»§¶Ë |
2Â¥2017-05-15 15:36:19














»Ø¸´´ËÂ¥
10