| 查看: 1510 | 回复: 8 | ||
| 【奖励】 本帖被评价8次,作者radiochem增加金币 6.4 个 | ||
[资源]
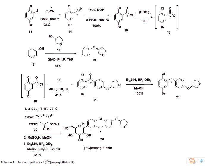
同位素标记合成案例:恩格列净(empagliflozin)的标记合成
|
||
有机合成 |
» 猜你喜欢
使用MolAICal发现蛋白受体潜在的活性口袋及位点
已经有0人回复
南方医科大学珠江医院肖计生课题组招收博士生 (2026年入学)
已经有2人回复
药物学论文润色/翻译怎么收费?
已经有258人回复
349药学专硕105500求调剂
已经有0人回复
华理药学学硕求调剂,总分324
已经有0人回复
求调剂
已经有1人回复
298求调剂一志愿中海洋
已经有3人回复
药学调剂申请自荐信,一志愿中南大学
已经有1人回复
药学349专硕求调剂
已经有1人回复
澳门理工大学人工智能药物发现中心招收2026级博士研究生(申请-考核制)
已经有10人回复
《左乙拉西坦注射液制备工艺研究、质量控制和稳定性研究》下载
已经有1人回复
简单回复
2017-05-14 20:28
回复
五星好评 顶一下,感谢分享!
xwj0073楼
2017-05-15 18:54
回复
五星好评 顶一下,感谢分享!
work0374楼
2017-05-16 08:21
回复
五星好评 顶一下,感谢分享!
飞天小蚊子5楼
2017-06-12 08:56
回复
五星好评 顶一下,感谢分享!
lint246楼
2018-07-08 18:40
回复
五星好评 顶一下,感谢分享!
光耀心宇7楼
2019-02-27 15:54
回复
五星好评 顶一下,感谢分享!
2020-07-18 14:12
回复
五星好评 顶一下,感谢分享!
jxy09279楼
2020-10-10 16:26
回复
五星好评 顶一下,感谢分享!













回复此楼