| 查看: 1227 | 回复: 10 | ||
ylsc99木虫 (正式写手)
|
[求助]
二阶微分方程求解,紧急求助,成功可再多加金币 已有1人参与
|
|
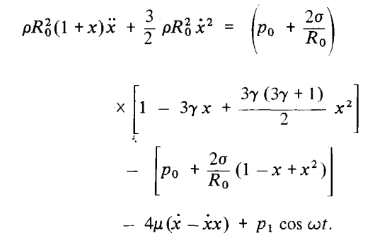
方程1 为二次方程,于是假设x的解为方程2,即,x=A0+A1cos(wt+φ1)+A2cos(2wt+φ2)这种形式,将方程2带入方程1,因为只需保留二次项,因此去掉A1*A2和A2*A2的项,求出A0,A1,A2。结果为图3,想要知道怎么求出的详细过程,希望得到高手指点。 方程1.PNG 方程2.PNG 图3.PNG |
» 猜你喜欢
AI 太可怕了,写基金时,提出想法,直接生成的文字比自己想得深远,还有科学性
已经有6人回复
有院领导为了换新车,用横向课题经费买了俩车
已经有9人回复
酰胺脱乙酰基
已经有13人回复
博士延得我,科研能力直往上蹿
已经有8人回复
同年申请2项不同项目,第1个项目里不写第2个项目的信息,可以吗
已经有4人回复
有时候真觉得大城市人没有县城人甚至个体户幸福
已经有10人回复
天津大学招2026.09的博士生,欢迎大家推荐交流(博导是本人)
已经有5人回复
遇见不省心的家人很难过
已经有22人回复
2楼2017-05-13 22:06:30
RebelYoung
新虫 (正式写手)
- 应助: 2 (幼儿园)
- 金币: 1411.6
- 散金: 177
- 红花: 3
- 帖子: 444
- 在线: 46.8小时
- 虫号: 4423024
- 注册: 2016-02-21
- 性别: GG
- 专业: 流体力学
3楼2017-05-15 10:42:39
RebelYoung
新虫 (正式写手)
- 应助: 2 (幼儿园)
- 金币: 1411.6
- 散金: 177
- 红花: 3
- 帖子: 444
- 在线: 46.8小时
- 虫号: 4423024
- 注册: 2016-02-21
- 性别: GG
- 专业: 流体力学
4楼2017-05-15 10:42:53
peterflyer
木虫之王 (文学泰斗)
peterflyer
- 应助: 20282 (院士)
- 金币: 146016
- 红花: 1374
- 帖子: 93091
- 在线: 7694.3小时
- 虫号: 1482829
- 注册: 2011-11-08
- 性别: GG
- 专业: 功能陶瓷
5楼2017-05-15 12:30:58
ylsc99
木虫 (正式写手)
- 应助: 0 (幼儿园)
- 金币: 3858.8
- 散金: 2
- 红花: 1
- 帖子: 306
- 在线: 108.7小时
- 虫号: 1084260
- 注册: 2010-08-29
- 专业: 影像医学与生物医学工程其
6楼2017-05-15 14:12:25
ylsc99
木虫 (正式写手)
- 应助: 0 (幼儿园)
- 金币: 3858.8
- 散金: 2
- 红花: 1
- 帖子: 306
- 在线: 108.7小时
- 虫号: 1084260
- 注册: 2010-08-29
- 专业: 影像医学与生物医学工程其
7楼2017-05-15 14:12:52
ylsc99
木虫 (正式写手)
- 应助: 0 (幼儿园)
- 金币: 3858.8
- 散金: 2
- 红花: 1
- 帖子: 306
- 在线: 108.7小时
- 虫号: 1084260
- 注册: 2010-08-29
- 专业: 影像医学与生物医学工程其
8楼2017-05-15 14:13:50
ylsc99
木虫 (正式写手)
- 应助: 0 (幼儿园)
- 金币: 3858.8
- 散金: 2
- 红花: 1
- 帖子: 306
- 在线: 108.7小时
- 虫号: 1084260
- 注册: 2010-08-29
- 专业: 影像医学与生物医学工程其
9楼2017-05-15 14:14:40
10楼2017-05-17 22:59:48













回复此楼