±±¾©Ê¯ÓÍ»¯¹¤Ñ§Ôº2026ÄêÑо¿ÉúÕÐÉú½ÓÊÕµ÷¼Á¹«¸æ
²é¿´: 402  |  »Ø¸´: 0

СÃ×¾Æ

Òø³æ (СÓÐÃûÆø)

[ÇóÖú] ¸ÆîÑ¿óÐ͵Äѹµç²ÄÁϸÅÄî½â´ð

ÇóÖúÁ˽âѹµçÌմɵijæÓÑ£¬
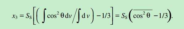
ÔÚ Ferroelectric devices Ò»ÊéÖÐÔÚÌúµçÏà¶ÔBaTiO3µÈ¸ÆîÑ¿óÐ͵Äѹµç²ÄÁϼӵçѹ£¬¹Û²ìµçÓ¦±ä¡£Àï±ßÓÐ principal strain ºÍ spontaneous strain Á½¸ö¸ÅÄ¶ÔÕâÁ½¸ö¸ÅÄî²»Àí½â£¬Çó³æÓѽâ´ð£¬ÆäÖй«Ê½Îª
principal strain
Ss=£¨c/a£©-1 (tetragonal crystal)
spontaneous strain
¼û¸½¼þͼƬ

¸ÆîÑ¿óÐ͵Äѹµç²ÄÁϸÅÄî½â´ð
²¶»ñ.JPG
»Ø¸´´ËÂ¥
ÒÑÔÄ   »Ø¸´´ËÂ¥   ¹Ø×¢TA ¸øTA·¢ÏûÏ¢ ËÍTAºì»¨ TAµÄ»ØÌû
Ïà¹Ø°æ¿éÌø×ª ÎÒÒª¶©ÔÄÂ¥Ö÷ СÃ×¾Æ µÄÖ÷Ìâ¸üÐÂ
×î¾ßÈËÆøÈÈÌûÍÆ¼ö [²é¿´È«²¿] ×÷Õß »Ø/¿´ ×îºó·¢±í
[¿¼ÑÐ] 081700»¯Ñ§¹¤³ÌÓë¼¼Êõ Ò»Ö¾Ô¸Öк£Ñó 323 Çóµ÷¼ÁѧУ +18 ÅûÐÇºÓ 2026-04-03 18/900 2026-04-06 13:55 by BruceLiu320
[¿¼ÑÐ] 336²ÄÁÏÓ뻯¹¤085600Çóµ÷¼Á +9 Ë®ÐǼÇinfp 2026-04-05 12/600 2026-04-06 11:46 by Ë®ÐǼÇinfp
[¿¼ÑÐ] Çóµ÷¼Á +5 wos666 2026-04-03 5/250 2026-04-06 10:13 by À¶ÔÆË¼Óê
[¿¼ÑÐ] ²ÄÁÏÓ뻯¹¤×¨Ë¶306·ÖÕÒºÏÊʵ÷¼Á +6 ²×º£ÇáÖÛe 2026-04-06 6/300 2026-04-06 10:02 by lqwchd
[¿¼ÑÐ] 085602µ÷¼Á ³õÊÔ×Ü·Ö335 +9 19123253302 2026-04-05 9/450 2026-04-06 06:14 by houyaoxu
[¿¼ÑÐ] Çóµ÷¼Á +3 µçÆøÐ¡Éñͯ 2026-04-04 3/150 2026-04-05 10:17 by barlinike
[¿¼ÑÐ] Ò»Ö¾Ô¸»ªÖÐũҵ´óѧ0710£¨A£©³õÊÔ329·Ö Çóµ÷¼Á +4 Ò»Ãû26¿¼ÑÐÉú 2026-04-04 4/200 2026-04-05 10:01 by barlinike
[¿¼ÑÐ] ¿¼Ñе÷¼Á +5 ËÄ´¨ÍõÌÎ 2026-04-04 5/250 2026-04-04 22:18 by à£à£à£0119
[¿¼ÑÐ] ¿¼Ñе÷¼Á +4 zybz³å³å³å 2026-04-03 6/300 2026-04-04 13:08 by zybz³å³å³å
[¿¼ÑÐ] 278Çóµ÷¼Á +6 Yy7400 2026-04-03 6/300 2026-04-04 09:53 by zhangdingwa
[¿¼ÑÐ] Çóµ÷¼Á +4 ѹÁ¦??´ó 2026-04-03 4/200 2026-04-03 21:36 by à£à£à£0119
[¿¼ÑÐ] 294Çóµ÷¼Á +6 Grey_Ey 2026-04-03 6/300 2026-04-03 20:46 by ÐÀϲ777
[¿¼ÑÐ] 334Çóµ÷¼Á +9 Trying] 2026-03-31 9/450 2026-04-03 15:18 by ×ÁçíØ¼
[¿¼ÑÐ] 309Çóµ÷¼Á +14 ´ô¹½²»ÊÇ´÷·ò 2026-04-02 14/700 2026-04-03 09:42 by À¶ÔÆË¼Óê
[¿¼ÑÐ] ÉúÎïѧ308·ÖÇóµ÷¼Á£¨Ò»Ö¾Ô¸»ª¶«Ê¦´ó£© +6 ÏàÐűػá¹ââÍòÕ 2026-03-31 7/350 2026-04-02 23:16 by JourneyLucky
[¿¼ÑÐ] 302Çóµ÷¼Á +9 zyxÉϰ¶£¡ 2026-04-02 9/450 2026-04-02 23:07 by Âí¶ù¿ì¿ìµØÅÜ
[¿¼ÑÐ] 322Çóµ÷¼Á +5 ìäÙÒXX 2026-03-31 6/300 2026-04-02 10:08 by Çóµ÷¼Ázz
[¿¼ÑÐ] »¯Ñ§¹¤³Ìר˶324·Ö£¬Ò»Ö¾Ô¸Öйú¿óÒµ´óѧÇóµ÷¼Á +7 ¹¢¹¢1314 2026-04-01 7/350 2026-04-02 07:40 by ÉÐË®¸óÖ÷
[¿¼ÑÐ] 358Çóµ÷¼Á +3 ÍõÏòÑô»¨ 2026-03-31 3/150 2026-04-01 09:56 by zzchen2000
[¿¼ÑÐ] 070300»¯Ñ§×¨Òµ279µ÷¼Á +10 ¹þ¹þ¹þ^_^ 2026-03-31 10/500 2026-03-31 23:13 by liu823948201
ÐÅÏ¢Ìáʾ
ÇëÌî´¦ÀíÒâ¼û