| ²é¿´: 464 | »Ø¸´: 1 | ||
[ÇóÖú]
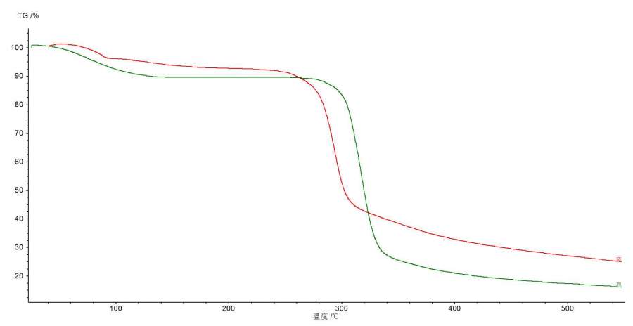
ľÊíµí·ÛºÍľÊíµí·ÛÄÉÃ×¾§µÄÈÈͬ²½Êý¾Ý£¬Çó´óÉñ°ï·ÖÎö
|
|
²»»á·ÖÎöÈÈͬ²½Êý¾Ý£¬¿´ÎÄÏ×Ò²ÊÇһͷÎíË®£¬Çó´óÉñÖú¹¥¡£ ·¢×ÔСľ³æAndroid¿Í»§¶Ë |
» ²ÂÄãϲ»¶
ÖØÇì¿Æ¼¼´óѧ»¯Ñ§»¯¹¤Ñ§Ôº»¹ÓÐ8¸öµ÷¼ÁÃû¶î
ÒѾÓÐ4È˻ظ´
2026ÄêÉ격
ÒѾÓÐ2È˻ظ´
½ðÊô²ÄÁÏÂÛÎÄÈóÉ«/·ÒëÔõôÊÕ·Ñ?
ÒѾÓÐ97È˻ظ´
·ÇÆøÌå/̼²ÄÁÏÎü¸½·½Ïò-²©µ¼ÍƼö
ÒѾÓÐ1È˻ظ´
2026Ä격ʿÉêÇë-»·¾³·½Ïò/²ÄÁÏ·½Ïò
ÒѾÓÐ16È˻ظ´
2025»ù½ðºÎʱ·Å°ñ£¿ÊǰËÔ¶àÉÙ£¿
ÒѾÓÐ13È˻ظ´
ÖØÇì¸ßУ½ÓÊÜÑо¿Éúµ÷¼Á£¬²ÄÁÏ¡¢»¯Ñ§¡¢¼ÆËã»ú·½Ïò
ÒѾÓÐ0È˻ظ´
¹ã¶«½ÃÅ ÎåÒØ´óѧÈáÐÔ´«¸Ð²ÄÁÏÓëÆ÷¼þÑо¿¿ª·¢ÖÐÐÄ ÕÐÊÕ0805¡¢0856µ÷¼Á˶ʿ
ÒѾÓÐ10È˻ظ´
¿¼Ñе÷¼Á
ÒѾÓÐ12È˻ظ´
» ±¾Ö÷ÌâÏà¹ØÉ̼ÒÍÆ¼ö: (ÎÒÒ²ÒªÔÚÕâÀïÍÆ¹ã)
nefu33
ľ³æ (ÕýʽдÊÖ)
- Ó¦Öú: 43 (СѧÉú)
- ½ð±Ò: 2740.4
- É¢½ð: 10
- ºì»¨: 3
- Ìû×Ó: 918
- ÔÚÏß: 456.4Сʱ
- ³æºÅ: 1142654
- ×¢²á: 2010-11-09
- ÐÔ±ð: GG
- רҵ: ¸ß·Ö×Ó¿ÆÑ§
2Â¥2017-05-08 21:13:59














»Ø¸´´ËÂ¥