| 查看: 1208 | 回复: 6 | |||
Math露珠木虫 (知名作家)
|
[交流]
如何将pde离散成无穷维ode组?已有4人参与
|
|
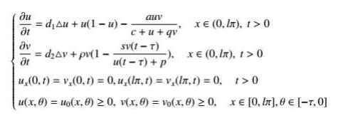
求助!如题!我想将如图1楼的偏微分方程离散成无穷维常微分方程组,鉴于本科时候没有学过数值分析,查了好多资料也没有特别吻合的答案,所以来此求助! 发自小木虫Android客户端 |
» 猜你喜欢
AI论文写作工具:是科研加速器还是学术作弊器?
已经有3人回复
孩子确诊有中度注意力缺陷
已经有6人回复
康复大学泰山学者周祺惠团队招收博士研究生
已经有4人回复
2026博士申请-功能高分子,水凝胶方向
已经有6人回复
论文投稿,期刊推荐
已经有4人回复
硕士和导师闹得不愉快
已经有13人回复
请问2026国家基金面上项目会启动申2停1吗
已经有5人回复
同一篇文章,用不同账号投稿对编辑决定是否送审有没有影响?
已经有3人回复
ACS Applied Polymer Materials投稿
已经有10人回复
RSC ADV状态问题
已经有4人回复
Math露珠
木虫 (知名作家)
- 应助: 10 (幼儿园)
- 金币: 7841.6
- 散金: 2548
- 红花: 123
- 沙发: 33
- 帖子: 8870
- 在线: 885.7小时
- 虫号: 4010226
- 注册: 2015-08-07
- 专业: 常微分方程与动力系统
2楼2017-05-07 14:36:20
武林天骄
木虫 (正式写手)
- 应助: 9 (幼儿园)
- 金币: 4741.2
- 散金: 49
- 红花: 5
- 帖子: 389
- 在线: 325.2小时
- 虫号: 2716957
- 注册: 2013-10-11
- 专业: 常微分方程与动力系统
3楼2017-05-08 21:00:02
Math露珠
木虫 (知名作家)
- 应助: 10 (幼儿园)
- 金币: 7841.6
- 散金: 2548
- 红花: 123
- 沙发: 33
- 帖子: 8870
- 在线: 885.7小时
- 虫号: 4010226
- 注册: 2015-08-07
- 专业: 常微分方程与动力系统
4楼2017-05-08 22:13:04
|
本帖内容被屏蔽 |
5楼2017-05-08 22:29:23
RebelYoung
新虫 (正式写手)
- 应助: 2 (幼儿园)
- 金币: 1411.6
- 散金: 177
- 红花: 3
- 帖子: 444
- 在线: 46.8小时
- 虫号: 4423024
- 注册: 2016-02-21
- 性别: GG
- 专业: 流体力学
6楼2017-05-15 10:46:15
zengshengda
铜虫 (职业作家)
- 应助: 0 (幼儿园)
- 金币: 24647.5
- 散金: 23
- 红花: 6
- 帖子: 3543
- 在线: 246.4小时
- 虫号: 1257629
- 注册: 2011-04-07
- 专业: 应用数学方法
7楼2017-05-15 23:14:36













回复此楼