| 查看: 952 | 回复: 4 | ||
xujinling229铁虫 (正式写手)
|
[求助]
N2吸附法测比表面的问题 已有2人参与
|
|
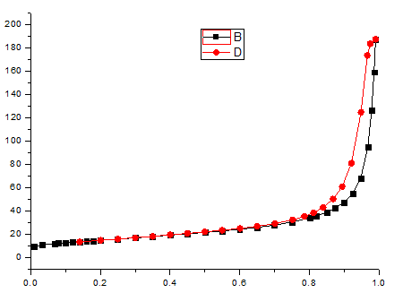
图为我样品N2吸附法测比表面的吸附-脱附曲线,请问各位大神,我的这个是什么类型的孔隙?怎样去计算孔隙的面积,孔隙跟表面粗糙度是有关系的吧?恳请大神赐教!! 8VFOO`IO{3~~2NC%0@]{N0O.png |
» 猜你喜欢
0856材料专硕353求调剂
已经有8人回复
材料与化工085600,总分304,本科有两篇sci参与,求调剂
已经有6人回复
南昌大学材料专硕311分求调剂
已经有9人回复
材料与化工考研调剂
已经有12人回复
340求调剂
已经有3人回复
安徽大学专硕生物与医药专业(086000)324分,英语已过四六级,六级521,求调剂
已经有3人回复
292求调剂
已经有12人回复
085600材料与化工306
已经有10人回复
359求调剂
已经有4人回复
求调剂
已经有6人回复
» 本主题相关价值贴推荐,对您同样有帮助:
注册环保师废气类专业真题求助
已经有2人回复
催化版上2008-04-25前 沸石分子筛,ZSM-系、SAPO-系 共466个话题集锦
已经有110人回复
2楼2017-05-11 13:56:36
xujinling229
铁虫 (正式写手)
- 应助: 4 (幼儿园)
- 金币: 1018.4
- 散金: 701
- 红花: 5
- 帖子: 547
- 在线: 116.7小时
- 虫号: 1788461
- 注册: 2012-05-01
- 性别: MM
- 专业: 配位化学
3楼2017-05-15 10:13:35
4楼2017-06-02 15:09:55
格格叔叔
木虫 (正式写手)
- 应助: 148 (高中生)
- 金币: 3373.8
- 散金: 215
- 红花: 23
- 帖子: 463
- 在线: 243.8小时
- 虫号: 4078036
- 注册: 2015-09-17
- 性别: GG
- 专业: 应用高分子化学与物理

5楼2017-06-02 15:18:06














回复此楼