| 查看: 431 | 回复: 1 | ||
孙雪 121金虫 (初入文坛)
|
[求助]
求帮助,有图,大家帮我看看
|
|
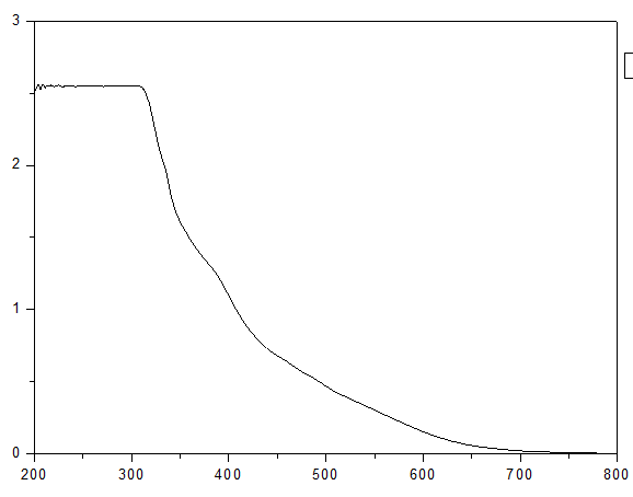
求问,我是做量子点的,测紫外可见吸收谱的时候,200~300多点儿的时候吸收就是这样的直线,这是正常现象吗?测了很多都这样,请求虫友们支援!直线是怎么回事啊? 图片1.png@神魔流转 |
» 猜你喜欢
温州大学2026年招生(化学、材料)
已经有10人回复
招生负责_院士团队_学生高自由度成长_擅长学生培养
已经有5人回复
金属材料论文润色/翻译怎么收费?
已经有231人回复
温州大学招收2026年入学博士研究生(化学、材料、环境)
已经有10人回复
非晶合金
已经有2人回复
院士团队-每届学生都优秀-高自由度-团队氛围好
已经有0人回复
求调剂
已经有3人回复
化工学院(学院正式调剂群+联系方式)
已经有0人回复
化工学院(学院官方群)-院士团队招生-学生自由度高-培养模式成熟高效
已经有0人回复
黑龙江大学分析化学招调剂
已经有0人回复
武汉高校国家级人才团队招收材料,化学,纺织等专业硕士调剂生
已经有22人回复
孙雪 121
金虫 (初入文坛)
- 应助: 0 (幼儿园)
- 金币: 1041
- 帖子: 6
- 在线: 2.8小时
- 虫号: 4850266
- 注册: 2016-07-18
- 性别: MM
- 专业: 凝聚态物性 II :电子结构
2楼2017-05-07 13:51:36













回复此楼