| 查看: 1589 | 回复: 6 | ||
[求助]
最大熵方法求功能函数的概率密度函数 已有1人参与
|
|
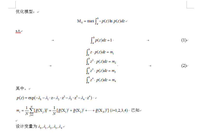
最大熵方法求功能函数的概率密度函数 一个用最大熵方法求解功能函数的概率密度函数的优化问题。但是他的目标函数和约束条件都是定积分形式,是隐式函数,我在编写程序的时候一直无法排除错误,请大神帮忙看看,有没有其他方法可以解决这个问题。 12.png |
» 猜你喜欢
售SCI一区文章,我:8 O5 51O 54,科目齐全
已经有3人回复
售SCI一区文章,我:8 O5 51O 54,科目齐全
已经有3人回复
售SCI一区文章,我:8 O5 51O 54,科目齐全
已经有4人回复
售SCI一区文章,我:8 O5 51O 54,科目齐全
已经有3人回复
售SCI一区文章,我:8 O5 51O 54,科目齐全
已经有5人回复
售SCI一区文章,我:8 O5 51O 54,科目齐全
已经有5人回复
售SCI一区文章,我:8 O5 51O 54,科目齐全
已经有5人回复
售SCI一区文章,我:8 O5 51O 54,科目齐全
已经有6人回复
售SCI一区文章,我:8 O5 51O 54,科目齐全
已经有6人回复
售SCI一区文章,我:8 O5 51O 54,科目齐全
已经有6人回复


2楼2017-05-05 09:58:25
感谢参与,应助指数 +1
|
本帖内容被屏蔽 |
3楼2017-05-05 23:16:30
|
本帖内容被屏蔽 |
4楼2017-05-05 23:28:25
|
本帖内容被屏蔽 |
5楼2017-05-05 23:28:38
|
本帖内容被屏蔽 |
6楼2017-05-05 23:28:53

7楼2018-04-30 20:30:19













回复此楼
10