| 查看: 384 | 回复: 2 | |||
[求助]
matlab求解方程 已有1人参与
|
|
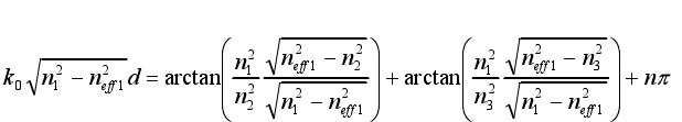
大神快来,matlab求如图方程neff1解,其他都是已知量 发自小木虫IOS客户端 |
» 猜你喜欢
材料与化工(0856)304求 B区 调剂
已经有3人回复
268求调剂
已经有8人回复
265求调剂
已经有14人回复
350 本科985求调剂,求老登收留
已经有3人回复
【考研调剂】化学专业 281分,一志愿四川大学,诚心求调剂
已经有9人回复
初试 317
已经有3人回复
279分求调剂 一志愿211
已经有15人回复
286求调剂
已经有4人回复
279求调剂
已经有4人回复
求调剂
已经有3人回复
lipenggg
专家顾问 (正式写手)
-

专家经验: +65 - 应助: 122 (高中生)
- 金币: 4841.3
- 红花: 43
- 帖子: 722
- 在线: 435.7小时
- 虫号: 3929201
- 注册: 2015-06-17
- 性别: GG
- 专业: 流体力学
- 管辖: 计算模拟
【答案】应助回帖
★
jjdg: 金币+1, 感谢参与 2017-05-16 20:47:28
jjdg: 金币+1, 感谢参与 2017-05-16 20:47:28

2楼2017-05-16 14:16:26
lipenggg
专家顾问 (正式写手)
-

专家经验: +65 - 应助: 122 (高中生)
- 金币: 4841.3
- 红花: 43
- 帖子: 722
- 在线: 435.7小时
- 虫号: 3929201
- 注册: 2015-06-17
- 性别: GG
- 专业: 流体力学
- 管辖: 计算模拟
【答案】应助回帖

3楼2017-05-16 14:20:34













回复此楼