| 查看: 3138 | 回复: 3 | ||
| 当前只显示满足指定条件的回帖,点击这里查看本话题的所有回帖 | ||
晓-虫虫新虫 (小有名气)
|
[求助]
如何使用DMA测试仪(TA,Q800)测试树脂薄膜的应力松弛?已有1人参与
|
|
|
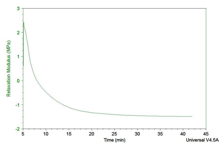
我做了一张树脂膜,参照文献使用DMA测试仪(TA,Q800)测试树脂薄膜的应力松弛。图中纵坐标最后降到了负值,而且曲线的形状也与原文献不一致(树脂薄膜是同一种物质),是仪器没有校准好还是松弛模量没有归一化处理还是别的什么原因?求大神指导如何获得如文献中的应力松弛图,使用DMA测试时具体要如何设置? 1.jpg 2.jpg 3.jpg@hwweven |
» 猜你喜欢
光探测器的文献,电流与功率指数关系是唯一的吗?
已经有0人回复
福建师范大学柔电院钱德平教授团队招收2026年博士研究生2名
已经有8人回复
无机非金属材料论文润色/翻译怎么收费?
已经有173人回复
【博士招生】英国萨里大学——2026年度萨里-国家留基委(CSC)联合奖学金申请
已经有0人回复
东北师范大学,功能高分子材料与器件、可穿戴电子方向,招收2026年入学博士
已经有0人回复
MOF择优取向
已经有0人回复
诚邀申报CSC奖学金,top up 至>17万/年
已经有0人回复
26届申博,硕士为中药化学、材料、理论计算交叉研究背景
已经有0人回复
hse杂化泛函计算能带,导带和价带整体上移0.4eV是什么原因
已经有1人回复
东北师范大学,功能高分子材料与器件、可穿戴电子方向,招收2026年入学博士
已经有0人回复
chen0mao
木虫 (职业作家)
- 应助: 15 (小学生)
- 金币: 19855.2
- 散金: 1570
- 红花: 14
- 帖子: 3337
- 在线: 252.8小时
- 虫号: 864529
- 注册: 2009-10-07
- 专业: 塑料
3楼2017-06-09 10:10:26
晓-虫虫
新虫 (小有名气)
- 应助: 1 (幼儿园)
- 金币: 958.5
- 散金: 5
- 帖子: 98
- 在线: 54.4小时
- 虫号: 2334110
- 注册: 2013-03-10
- 性别: MM
- 专业: 聚合物共混与复合材料
2楼2017-05-05 10:37:16
晓-虫虫
新虫 (小有名气)
- 应助: 1 (幼儿园)
- 金币: 958.5
- 散金: 5
- 帖子: 98
- 在线: 54.4小时
- 虫号: 2334110
- 注册: 2013-03-10
- 性别: MM
- 专业: 聚合物共混与复合材料
4楼2017-07-05 20:51:13













回复此楼