| 查看: 10772 | 回复: 1 | ||
hmh3213银虫 (正式写手)
|
[求助]
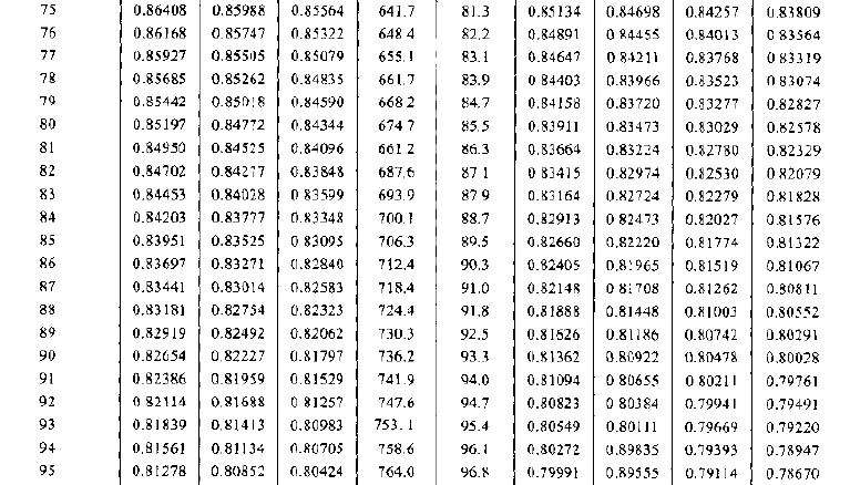
求25℃下,75%和95%乙醇的密度,谢谢 已有1人参与
|
| 求25℃下,75%和95%乙醇的密度,谢谢 |
» 猜你喜欢
什么脱膜剂可以完全清洗干净啊?
已经有2人回复
暨南大学化学与材料学院赵宇亮院士正在招博士和博后,方向为生物材料和纳米医学
已经有1人回复
有机高分子材料论文润色/翻译怎么收费?
已经有198人回复
可生物降解聚酯正在重塑现代医疗器械
已经有0人回复
26届博士申请
已经有2人回复
PLLA 微球在生物医学领域的研究与应用
已经有1人回复
PLLA 微球的材料特性与制备工艺解析
已经有0人回复
医用聚己内酯(PCL)全解析:从两段式降解到组织工程应用
已经有0人回复
反相硅胶如何再生?
已经有1人回复

冰点降温
版主 (文坛精英)
- ICEPI: 16
- 应助: 1049 (博后)
- 贵宾: 17.583
- 金币: 142063
- 散金: 15350
- 红花: 243
- 沙发: 803
- 帖子: 15959
- 在线: 2057.8小时
- 虫号: 851406
- 注册: 2009-09-19
- 性别: GG
- 专业: 化学工程及工业化学
- 管辖: 无机/物化

2楼2017-05-03 08:51:59













回复此楼