| 查看: 556 | 回复: 0 | ||
[求助]
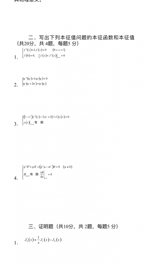
有大神懂本征函数么,求解一题。。
|
|
第二大题第四小问,实在解不出来没有办法了。。。小弟小木虫新人,第一次提问,悬赏的金币不多,但是我的倾家荡产都拿出来了。求论坛上大神指点一二,感激不尽。 发自小木虫IOS客户端 [ Last edited by 海大王 on 2017-5-2 at 08:36 ] |
» 猜你喜欢
309求调剂
已经有9人回复
一志愿北交材料工程总分358
已经有7人回复
311求调剂一志愿合肥工业大学
已经有14人回复
材料调剂
已经有4人回复
085602化学工程268分蹲调剂
已经有5人回复
材料专业求调剂
已经有7人回复
材料调剂
已经有11人回复
考研调剂
已经有11人回复
材料专硕306英一数二
已经有6人回复
285求调剂
已经有3人回复














回复此楼