²é¿´: 914  |  »Ø¸´: 0

µ¼ÈÈС²ËÄñ

½ð³æ (ÕýʽдÊÖ)

[ÇóÖú] 100RMBÇóMATLAB¼òµ¥µÄLMIÎÊÌ⣡

ÈçÌ⣬LMIÖÐÒªÇó¶Ô½ÇÏߵľØÕó±ØÐëÊÇ·½Õó²ÅÄÜÇó½â£¬¿ÉÊÇÎÒÒªÇóµÄ¾ØÕó²»ÊÇ·½ÕóÔõô°ì£¿
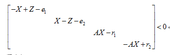
ÎÊÌâÈçͼ1.
Z=[98.235;50.862;49.144;48.756;25.397;25.514;75.375];
A=[1 -1 -1 0 0 0 0;0 0 1 -1 0 0 0;0 1 0 0 -1 -1 0;0 0 0 1 1 0 -1];
e1=[0.5;0.5;0.5;0.5;0.5;0.5;0.5];
e2=[0.4;0.4;0.4;0.4;0.4;0.4;0.4];
r1=[0.08;0.08;0.08;0.08;0.08;0.08;0.08];
r2=[0.06;0.06;0.06;0.06;0.06;0.06;0.06];
AΪ4X7¾ØÕó£»X£¬Z£¬e1£¬e2£¬r1£¬r2¾ùΪ7x1¾ØÕó
´úÂëÈçÏ£º
Z1=z-e1; Z2=-(z+e2);
setlmis([]);
  X=lmivar(2,[7 1]);   
  lmiterm([1 1 1 X],-1,1);                       
  lmiterm([1 1 1 0], Z1);                       
  lmiterm([2 1 1 X],1,1);                        
  lmiterm([2 1 1 0],Z2);                          
  lmiterm([3 1 1 X], A,1);                  
  lmiterm([3 1 1 0],-r1);                          
  lmiterm([4 1 1 X],-A,1);                 
  lmiterm([4 1 1 0],r2);                          
lmis=getlmis;

ÔËÐкóÈçÏ´íÎó£º
lmiterm([1 1 1 X],-1,1);
lhs of LMI #1, block (1,1): terms in diagonal blocks must be square

MatlabÒªÇóÿһ¸ö²»µÈʽ±ØÐëÊÇ·½Õ󣬼´X£¬AXÒ²±ØÐëÊÇ·½Õó¡£Ôõô°ì£¿²»¿ÉÄÜÿ´Î¶¼ÕýºÃÊÇ·½Õóѽ¡£

Èç¹ûת»¯³ÉͼƬ2ÔÙÇó½â£¬
³ÌÐòÈçÏÂ
Z1=z-e1; Z2=-(z+e2);
setlmis([]);
  X=lmivar(2,[7 1]);   
  lmiterm([1 1 1 X],-1,1);                       
  lmiterm([1 1 1 0],Z1);                       
  lmiterm([1 2 2 X],1,1);                        
  lmiterm([1 2 2 0],Z2);                          
  lmiterm([1 3 3 X], A,1);                  
  lmiterm([1 3 3 0],r1);                          
  lmiterm([1 4 4 X],A,-1);                 
  lmiterm([1 4 4 0],r2);                          
lmis=getlmis;

»¹ÊdzöÏÖͬÑùµÄÎÊÌâ¡£

LMIÒªÇó²»µÈʽб¶Ô½ÇÏßÉϵľØÕóΪ·½Õ󣬼´nxn¾ØÕó¡£¶øÎÒÕâÀïÒªÇó½âµÄ²»µÈʽ¾ØÕó£¨1£©-£¨4£©¶¼²»ÊÇ·½ÕóÔõô°ì£¿ÒªÔõô´¦Àí£¿
ÓÃfminconº¯Êý¿ÉÒԽ⣬µ«ÊǾÍÊÇÏëѧ»áʹÓÃLMIº¯Êý£¬Èç¹û¶¼ÊÇ·½Õó²Å¿ÉÒԽ⣬ÄÇÆñ²»ÊÇLMIÕâ¸ö¹¤¾ßÏäºÜ¾ÖÏÞ£¿

100RMBÇóMATLAB¼òµ¥µÄLMIÎÊÌ⣡
111111.png


100RMBÇóMATLAB¼òµ¥µÄLMIÎÊÌ⣡-1
22222.png
»Ø¸´´ËÂ¥

» ²ÂÄãϲ»¶

ÒÑÔÄ   »Ø¸´´ËÂ¥   ¹Ø×¢TA ¸øTA·¢ÏûÏ¢ ËÍTAºì»¨ TAµÄ»ØÌû
Ïà¹Ø°æ¿éÌø×ª ÎÒÒª¶©ÔÄÂ¥Ö÷ µ¼ÈÈС²ËÄñ µÄÖ÷Ìâ¸üÐÂ
×î¾ßÈËÆøÈÈÌûÍÆ¼ö [²é¿´È«²¿] ×÷Õß »Ø/¿´ ×îºó·¢±í
[¿¼ÑÐ] ³õÊÔ 317 +3 °ëÀ­Ô±û 2026-03-20 3/150 2026-03-21 13:25 by zhukairuo
[¿¼ÑÐ] 279Çóµ÷¼Á +4 ºìÒÂÒþ¹Ù 2026-03-21 4/200 2026-03-21 13:21 by zhukairuo
[¿¼ÑÐ] Ò»Ö¾Ô¸Î÷°²½»Í¨´óѧ²ÄÁϹ¤³Ìרҵ 282·ÖÇóµ÷¼Á +7 ·ãÇÅZL 2026-03-18 9/450 2026-03-21 09:56 by JineShine
[¿¼ÑÐ] 346Çóµ÷¼Á[0856] +4 WayneLim327 2026-03-16 7/350 2026-03-21 04:02 by JourneyLucky
[¿¼ÑÐ] 070300»¯Ñ§319Çóµ÷¼Á +7 ½õÀð0909 2026-03-17 7/350 2026-03-21 03:46 by JourneyLucky
[¿¼ÑÐ] 303Çóµ÷¼Á +5 î£08 2026-03-17 7/350 2026-03-21 03:11 by JourneyLucky
[¿¼ÑÐ] Ò»Ö¾Ô¸ÖйúʯÓÍ´óѧ£¨»ª¶«£© ±¾¿ÆÆë³¹¤Òµ´óѧ +3 ʯÄÜΰ 2026-03-17 3/150 2026-03-21 02:22 by JourneyLucky
[¿¼ÑÐ] 271²ÄÁϹ¤³ÌÇóµ÷¼Á +8 .6lL 2026-03-18 8/400 2026-03-21 00:58 by JourneyLucky
[¿¼ÑÐ] 304Çóµ÷¼Á +7 ˾¿Õ. 2026-03-18 7/350 2026-03-20 23:08 by JourneyLucky
[¿¼ÑÐ] Ò»Ö¾Ô¸ÄϾ©Àí¹¤´óѧ085701×ÊÔ´Óë»·¾³302·ÖÇóµ÷¼Á +4 ¿ûè÷ÎÀ¶Ó 2026-03-18 6/300 2026-03-20 23:02 by JourneyLucky
[¿¼ÑÐ] Ò»Ö¾Ô¸ÎäÀí²ÄÁϹ¤³Ì348Çóµ÷¼Á +3 £þ^£þ©bº¹ 2026-03-19 4/200 2026-03-20 21:01 by zhukairuo
[¿¼ÑÐ] ²ÄÁÏѧÇóµ÷¼Á +4 Stella_Yao 2026-03-20 4/200 2026-03-20 20:28 by ms629
[¿¼ÑÐ] 08¹¤Ñ§µ÷¼Á +5 Óû§573181 2026-03-20 5/250 2026-03-20 15:47 by xia_2003
[¿¼ÑÐ] ²ÄÁÏÓ뻯¹¤Çóµ÷¼Á +7 Ϊѧ666 2026-03-16 7/350 2026-03-19 14:48 by ¾¡Ë´Ò¢1
[¿¼ÑÐ] 0703»¯Ñ§ 305Çóµ÷¼Á +4 FY_yy 2026-03-14 4/200 2026-03-19 05:54 by anny19840123
[¿¼ÑÐ] ÉúÎïѧ071000 329·ÖÇóµ÷¼Á +3 ÎÒ°®ÉúÎïÉúÎﰮΠ2026-03-17 3/150 2026-03-18 10:12 by macy2011
[¿¼ÑÐ] ²ÄÁÏר˶326Çóµ÷¼Á +6 Ä«ìÏæ¦Ý· 2026-03-15 7/350 2026-03-17 17:10 by ruiyingmiao
[¿¼ÑÐ] Ò»Ö¾Ô¸211 0703·½Ïò310·ÖÇóµ÷¼Á +3 ŬÁ¦·Ü¶·112 2026-03-15 3/150 2026-03-16 16:44 by houyaoxu
[¿¼ÑÐ] 070305Çóµ÷¼Á +3 mlpqaz03 2026-03-14 4/200 2026-03-15 11:04 by peike
[¿¼ÑÐ] ¸´ÊÔµ÷¼Á +3 ºôºô£¿~+123456 2026-03-14 3/150 2026-03-14 16:53 by WTUChen
ÐÅÏ¢Ìáʾ
ÇëÌî´¦ÀíÒâ¼û