| 查看: 236 | 回复: 0 | |||
[交流]
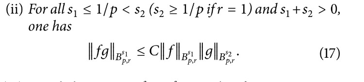
求助 这个成立吗
|
|
这个不等式在 triebel 空间成立吗 函数关于空间变量是1维的 发自小木虫IOS客户端 |
» 猜你喜欢
272分材料子求调剂
已经有36人回复
275求调剂
已经有8人回复
调剂求收留
已经有5人回复
一志愿211,化学学硕,310分,本科重点双非,求调剂
已经有20人回复
070300化学学硕311分求调剂
已经有19人回复
材料与化工调剂
已经有13人回复
材料与化工调剂
已经有33人回复
复试调剂
已经有7人回复
一志愿哈工大 085600 277 12材科基求调剂
已经有17人回复
还有化工二轮调剂的学校吗
已经有47人回复
» 抢金币啦!回帖就可以得到:
江西水利电力大学-储能技术专业-085808-接收二次调剂研究生,速报名,有名额
+1/68
山东大学杨再兴课题组长期诚聘博士后
+2/64
考研 调剂 大连大学 六盘水师范学院
+1/42
大湾区大学李红庚课题组招聘研究助理
+1/35
喀什大学环境生态修复功能材料与技术团队接收2026年调剂研究生
+1/34
抗病毒性传染病创新药物全国重点实验室—接收化学、生物、药学、生物与医药调剂考生
+1/20
沈阳工业大学石油化工学院传质强化研究团队招收硕士研究生调剂
+1/19
抗病毒性传染病创新药物全国重点实验室—接收化学、生物、药学、生物与医药调剂考生
+1/16
哈尔滨工业大学(深圳)赵怡潞课题组诚招博士后、博士生
+1/12
齐鲁工业大学-材料方向招收两名专硕调剂
+1/11
江西师大化学工程学院调剂今晚0点开放!
+1/10
河南农大刘立杰课题组招收化学、材料与化工调剂生开放时间10日17点-11日9点
+1/9
中国药科大学陈达威课题组诚聘博士后(类器官方向)
+1/9
中国科学技术大学-安徽大学高薪联合招聘博士后/副研究员
+1/7
福建师范大学环境微生物技术课题组接受2026级硕士调剂
+1/5
河北大学招收调剂生
+1/4
0854,0858调剂招生
+1/3
南阳师范学院生命科学学院2026年硕士研究生调剂最新简明信息
+1/1
太原科技大学材料科学与工程学院学硕、专硕调剂
+1/1
招调剂生: 植物学(学硕),资源利用与植物保护(专硕)
+1/1













回复此楼