| 查看: 499 | 回复: 1 | |||
[求助]
nico2o4的cv扫描和交流阻抗分析
|
|
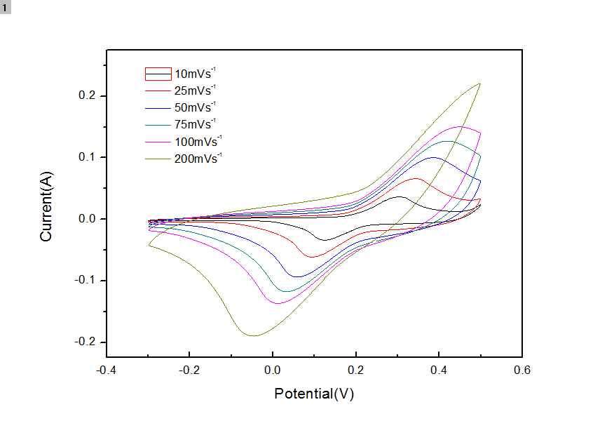
cv扫描出的氧化还原峰是ni还是co氧化了?怎么算比电容 阻抗图,半圆代表什么 @klicking @superyeast @学术巨星 发自小木虫Android客户端 |
» 猜你喜欢
286求调剂
已经有14人回复
一志愿211,0703化学305分求调剂
已经有10人回复
362求调剂
已经有8人回复
0703调剂
已经有17人回复
333求调剂
已经有4人回复
085600材料与化工专硕329 求调剂
已经有12人回复
一志愿吉大化学327求调剂
已经有8人回复
0703化学调剂 348分
已经有8人回复
一志愿太原理工大学计算机技术专硕348,求调剂指导
已经有3人回复
材料考研求调剂总分280
已经有16人回复
superyeast
专家顾问 (职业作家)
-

专家经验: +965 - ACI: 2
- 应助: 967 (博后)
- 贵宾: 0.641
- 金币: 17460.9
- 散金: 1200
- 红花: 206
- 帖子: 3316
- 在线: 312.8小时
- 虫号: 3322402
- 注册: 2014-07-14
- 性别: GG
- 专业: 有机合成
- 管辖: 分析
2楼2017-04-26 13:48:51














回复此楼