| 查看: 493 | 回复: 1 | ||
[求助]
氮气测试滞后环不闭合大神来分析下
|
|
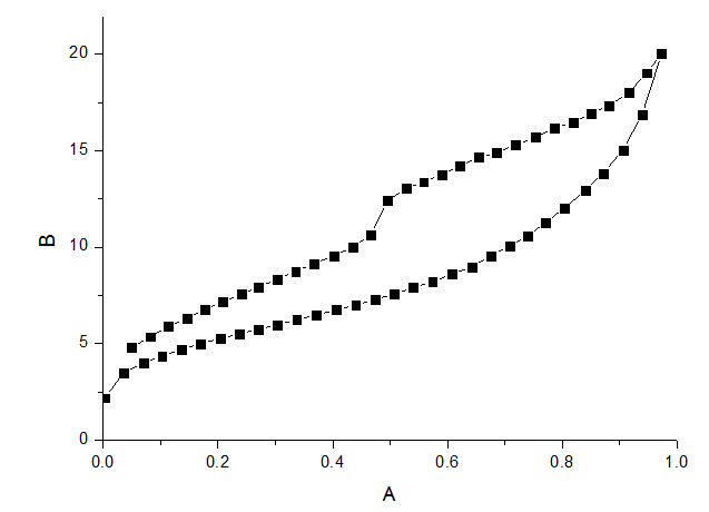
看不懂这个滞后环,一般情况下应该是要闭合才对啊,怎么我这个测试出来是这样,不知道是不是实验测试的有问题还是材料本身就是这样,BET表面积是19.23,BJH方法测的表面积是33m2/g,孔体积是0.034,孔隙半径是4.967. 氮气吸附.png |
» 猜你喜欢
大连工业大学招硕士研究生
已经有0人回复
关于研究生调剂的些许建议
已经有1人回复
专业论文润色/翻译怎么收费?
已经有216人回复
辽宁:大连工业大学,文字为导师详细信息,图片为团队介绍,欢迎报名
已经有0人回复
武汉轻工大学化环学院招收调剂
已经有6人回复
武汉轻工大学化环学院招调剂
已经有0人回复
塑料油分析测试
已经有1人回复
大连工业大学招硕士研究生
已经有0人回复
武汉纺织大学招收化学化工类和材料类研究生调剂生若干名
已经有6人回复
河南某一本高校招收材料,化工,化学调剂生
已经有0人回复
» 本主题相关商家推荐: (我也要在这里推广)
匿名
版主
2楼2017-04-26 06:26:45














回复此楼

10