| 查看: 1828 | 回复: 7 | ||
wangdexina金虫 (正式写手)
|
[求助]
关于使用maltab中的龙格库塔方法解常微分方程组:
|
|
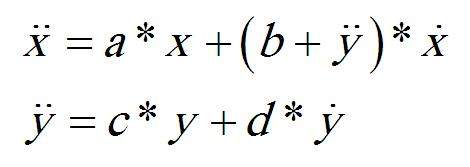
关于使用maltab中的龙格库塔方法解常微分方程组: 例如下面这个问题,这是个方程组,是分开求解还是用一个function呢? 目前我用的是一个function,可是在求解x的二阶导数的时候会调用y的二阶导数,这个真的没遇见过 。希望大神们可以给予帮助~!谢谢![]() wt.jpg |
» 猜你喜欢
重庆交大26年硕士生招生拟调剂通知已出!欢迎加入机器视觉与3D光学成像课题组。
已经有0人回复
**
已经有1人回复
物理学I论文润色/翻译怎么收费?
已经有247人回复
0702一志愿吉大B区求调剂 本科期间发表一篇Sci
已经有3人回复
基底STO,薄膜SRO,XRD里面的振荡,是laue震荡还是kiessig振荡? 怎么判断?
已经有2人回复
B区学生调剂-兰州交通大学材料科学与工程学院
已经有8人回复
山西大同大学物理学专业还有调剂名额,欢迎调剂!
已经有12人回复
桂林理工大学物理学专业招收调剂
已经有11人回复
VASP 的一组 GPU / CPU 基准测试记录
已经有0人回复
美国顶级物理期刊《应用物理快报》(APL)的编辑欺骗和歧视作者及AIP的官僚主义傲慢
已经有1人回复
|
顶一下 发自小木虫Android客户端 |
» 本帖已获得的红花(最新10朵)
2楼2017-04-22 17:22:41
wangdexina
金虫 (正式写手)
- 应助: 2 (幼儿园)
- 金币: 821.5
- 散金: 20
- 红花: 4
- 帖子: 314
- 在线: 72.3小时
- 虫号: 2095363
- 注册: 2012-10-30
- 性别: GG
- 专业: 流体力学
3楼2017-04-22 17:23:50
【答案】应助回帖
★ ★ ★ ★ ★ ★ ★ ★ ★ ★ ★ ★ ★ ★ ★ ★ ★ ★ ★ ★ ★ ★ ★ ★ ★ ★ ★ ★ ★ ★ ★ ★ ★ ★ ★
感谢参与,应助指数 +1
wangdexina(月只蓝代发): 金币+15, 感谢应助 2017-04-23 10:58:16
wangdexina: 金币+20, ★★★★★最佳答案 2017-04-24 09:00:04
感谢参与,应助指数 +1
wangdexina(月只蓝代发): 金币+15, 感谢应助 2017-04-23 10:58:16
wangdexina: 金币+20, ★★★★★最佳答案 2017-04-24 09:00:04
|
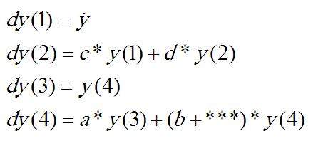
这个方程组,可以简化为 四个一介方程组:解高阶方程组都是用这个 降介 以及 分解的方法 然后直接用 ode45 就可以 |
» 本帖已获得的红花(最新10朵)
4楼2017-04-22 17:45:50
wangdexina
金虫 (正式写手)
- 应助: 2 (幼儿园)
- 金币: 821.5
- 散金: 20
- 红花: 4
- 帖子: 314
- 在线: 72.3小时
- 虫号: 2095363
- 注册: 2012-10-30
- 性别: GG
- 专业: 流体力学
5楼2017-04-22 18:39:49
|
你图片里不是很清楚, 正常 dy(1)=y(2) ; dy(2)=c*y(1)+d*y(2) ; dy(3)=y(4) ; dy(4)=a*y(3)+(b+ dy(2))*y(4) ; 结果之所以对不上,是因为这里有好几个因素: 1. 时间的步长 2. 二阶导 中 的 常数 dy = y+c,这里有好几个地方都可以加 c 常数 具体得看文献中给出的数据够不够具体 |
» 本帖已获得的红花(最新10朵)
6楼2017-04-22 19:14:37
wangdexina
金虫 (正式写手)
- 应助: 2 (幼儿园)
- 金币: 821.5
- 散金: 20
- 红花: 4
- 帖子: 314
- 在线: 72.3小时
- 虫号: 2095363
- 注册: 2012-10-30
- 性别: GG
- 专业: 流体力学
7楼2017-04-22 19:38:32
wangdexina
金虫 (正式写手)
- 应助: 2 (幼儿园)
- 金币: 821.5
- 散金: 20
- 红花: 4
- 帖子: 314
- 在线: 72.3小时
- 虫号: 2095363
- 注册: 2012-10-30
- 性别: GG
- 专业: 流体力学
8楼2017-04-24 19:39:40














。希望大神们可以给予帮助~!谢谢
回复此楼
wangdexina