| ²é¿´: 1758 | »Ø¸´: 0 | ||
mcq003гæ (³õÈëÎÄ̳)
|
[ÇóÖú]
Ô²ÖùÖá¶Ô³Æµ¼ÈÈ΢·Ö·½³ÌµÄÓÐÏÞ²î·Ö·¨ÀëÉ¢ÍÆµ¼
|
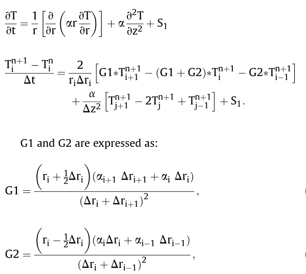
ÈçºÎÓÃÓÐÏÞ²î·Ö·¨¶ÔÔ²ÖùÖá¶Ô³Æ¶þάµ¼ÈÈ΢·Ö·½³Ì½øÐÐÍÆµ¼£¿Í¼ÖÐÒѾ¸ø³ö½á¹û£¬µ«²»ÖªµÀÔõÃ´ÍÆµ¼µÄ£¬ÄÄλÄÜ·ñ°ïæ½âÊÍÏ»òÕ߸ø³öÏà¹Ø²Î¿¼×ÊÁϵĽ¨Ò飡лл¡£¡£¡£¡£![]() Öá¶Ô³Æµ¼ÈÈ·½³Ì.GIF |
» ²ÂÄãϲ»¶
070200Çóµ÷¼Á£¬Ò»Ö¾Ô¸Ä³211£¬288·Ö
ÒѾÓÐ20È˻ظ´
·¨¹ú²©Ê¿ºóְλ
ÒѾÓÐ0È˻ظ´
ÎïÀíѧIÂÛÎÄÈóÉ«/·ÒëÔõôÊÕ·Ñ?
ÒѾÓÐ87È˻ظ´
ÖØÇì½»´ó26Äê˶ʿÉúÕÐÉúÄâµ÷¼Á֪ͨÒѳö£¡»¶Ó¼ÓÈë»úÆ÷ÊÓ¾õÓë3D¹âѧ³ÉÏñ¿ÎÌâ×é¡£
ÒѾÓÐ0È˻ظ´
**
ÒѾÓÐ1È˻ظ´
0702Ò»Ö¾Ô¸¼ª´óBÇøÇóµ÷¼Á ±¾¿ÆÆÚ¼ä·¢±íһƪSci
ÒѾÓÐ3È˻ظ´
»ùµ×STO,±¡Ä¤SRO£¬XRDÀïÃæµÄÕñµ´£¬ÊÇlaueÕðµ´»¹ÊÇkiessigÕñµ´? ÔõôÅжϣ¿
ÒѾÓÐ2È˻ظ´
BÇøÑ§Éúµ÷¼Á-À¼Öݽ»Í¨´óѧ²ÄÁÏ¿ÆÑ§Ó빤³ÌѧԺ
ÒѾÓÐ8È˻ظ´
ɽÎ÷´óͬ´óѧÎïÀíѧרҵ»¹Óе÷¼ÁÃû¶î£¬»¶Óµ÷¼Á£¡
ÒѾÓÐ9È˻ظ´
¹ðÁÖÀí¹¤´óѧÎïÀíѧרҵÕÐÊÕµ÷¼Á
ÒѾÓÐ10È˻ظ´














»Ø¸´´ËÂ¥