| 查看: 974 | 回复: 5 | |||
李俊13114110铜虫 (初入文坛)
|
[求助]
帮忙解核磁共振氢谱 已有2人参与
|
|
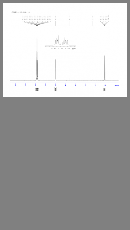
知道里面有苯环和酚羟基,大家帮忙解一下图谱 发自小木虫IOS客户端 |
» 猜你喜欢
271求调剂
已经有38人回复
293求调剂
已经有18人回复
327求调剂
已经有22人回复
材料085601调剂
已经有33人回复
求调剂
已经有14人回复
求调剂
已经有11人回复
化学070300 求调剂
已经有21人回复
297工科调剂?
已经有3人回复
300分求调剂 (085501机械专硕,本科扬大)
已经有9人回复
调剂求收留
已经有32人回复
» 本主题相关价值贴推荐,对您同样有帮助:
跪求解析核磁共振谱!!!
已经有5人回复
核磁共振图谱(氢谱)解谱:条纹炭角菌中分离出的化合物
已经有3人回复
本人第一次做1H-NMR氢谱,求大神帮忙解谱
已经有2人回复
求助解谱高手
已经有1人回复
请问从微生物里提取一种活性物质,但最终结构没解出来,能投哪种杂志啊?
已经有5人回复
求一道有具体解题步骤的二维核磁共振波普例题
已经有6人回复
【求助】帮忙看看核磁共振图吧~焦头烂额啦
已经有25人回复
【求助】有没有好的核磁共振书籍推荐下(最好英文版)
已经有5人回复
tanzhen
捐助贵宾 (著名写手)
qq3233511316专业分离结构鉴定
- 应助: 188 (高中生)
- 金币: 1262.5
- 散金: 229
- 红花: 57
- 帖子: 2158
- 在线: 247.9小时
- 虫号: 1937256
- 注册: 2012-08-13
- 性别: GG
- 专业: 天然药物化学
2楼2017-04-20 23:01:45
tanzhen
捐助贵宾 (著名写手)
qq3233511316专业分离结构鉴定
- 应助: 188 (高中生)
- 金币: 1262.5
- 散金: 229
- 红花: 57
- 帖子: 2158
- 在线: 247.9小时
- 虫号: 1937256
- 注册: 2012-08-13
- 性别: GG
- 专业: 天然药物化学
3楼2017-04-20 23:01:55
知識無價
铁杆木虫 (著名写手)
- 应助: 579 (博士)
- 金币: 9945.9
- 红花: 61
- 帖子: 2794
- 在线: 238.4小时
- 虫号: 2342319
- 注册: 2013-03-13
- 性别: GG
- 专业: 光谱分析
4楼2017-04-21 06:51:33
celan
专家顾问 (知名作家)
从事NMR和有机化合物结构鉴定
-

专家经验: +1126 - ACI: 1
- 应助: 1070 (博后)
- 贵宾: 0.6
- 金币: 32834.1
- 散金: 1085
- 红花: 223
- 帖子: 5199
- 在线: 943.6小时
- 虫号: 174901
- 注册: 2006-01-23
- 性别: GG
- 专业: 有机分析
- 管辖: 有机交流
5楼2017-04-21 10:04:23
李俊13114110
铜虫 (初入文坛)
- 应助: 0 (幼儿园)
- 金币: 173
- 散金: 10
- 红花: 1
- 帖子: 12
- 在线: 5.3小时
- 虫号: 6172889
- 注册: 2017-03-28
- 性别: GG
- 专业: 元素化学
6楼2017-05-03 13:20:19














回复此楼