| 查看: 2241 | 回复: 7 | |
kscandal木虫 (小有名气)
|
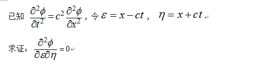
[求助]
高数偏导数公式推导已有1人参与
|
![]() |
|
|
|
|
|
2楼2017-04-19 10:45:51
|
|
kscandal木虫 (小有名气)
|
|
![]() |
|
|
3楼2017-04-19 10:47:20
|
|
kscandal木虫 (小有名气)
|
|
![]() |
|
|
4楼2017-04-19 10:51:11
|
|
|
5楼2017-04-19 10:52:42
|
|
kscandal木虫 (小有名气)
|
|
![]() |
|
|
6楼2017-04-19 11:02:50
|
|
|
7楼2017-04-19 11:05:42
|
|
peterflyer
|
|
|
8楼2017-04-19 12:16:52
|
|













回复此楼

