| ²é¿´: 1542 | »Ø¸´: 5 | ||
ÀÏÐÏÏÈÇýľ³æ (СÓÐÃûÆø)
|
[ÇóÖú]
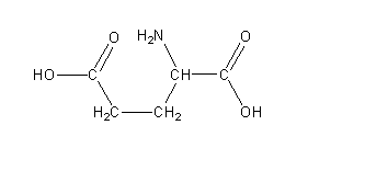
Çó´óÉñ°ïæ·ÖÎöһϹȰ±ËáµÄºìÍâ¹âÆ×ͼ
|
£¬±¾ÈËС°×Ò»¸ö£¬ºìÍâ¿´Á˰ëÌìҲûŪÇåÄĸö·åÊÇÄĸö»ùÍŵÄÕñ¶¯·å![]() £¬¹È°±ËáµÄ·Ö×ÓʽÎÒ×Ô¼º»µÄ£¬²»Ò»¶¨ÕýÈ·£¬½ö¹©²Î¿¼¹È°±Ëá.png Graph#3.jpg@wyy080214@ѼÂ̽ÅÏ@ѧÊõ¾ÞÐÇ@klicking |
» ²ÂÄãϲ»¶
271Çóµ÷¼Á
ÒѾÓÐ38È˻ظ´
293Çóµ÷¼Á
ÒѾÓÐ18È˻ظ´
327Çóµ÷¼Á
ÒѾÓÐ22È˻ظ´
²ÄÁÏ085601µ÷¼Á
ÒѾÓÐ33È˻ظ´
Çóµ÷¼Á
ÒѾÓÐ14È˻ظ´
Çóµ÷¼Á
ÒѾÓÐ11È˻ظ´
»¯Ñ§070300 Çóµ÷¼Á
ÒѾÓÐ21È˻ظ´
297¹¤¿Æµ÷¼Á?
ÒѾÓÐ3È˻ظ´
300·ÖÇóµ÷¼Á £¨085501»úеר˶£¬±¾¿ÆÑï´ó£©
ÒѾÓÐ9È˻ظ´
µ÷¼ÁÇóÊÕÁô
ÒѾÓÐ32È˻ظ´
» ±¾Ö÷ÌâÏà¹ØÉ̼ÒÍÆ¼ö: (ÎÒÒ²ÒªÔÚÕâÀïÍÆ¹ã)
2Â¥2017-04-26 07:38:21
748128631
½ð³æ (ÕýʽдÊÖ)
- Ó¦Öú: 3 (Ó×¶ùÔ°)
- ½ð±Ò: 2189
- É¢½ð: 35
- ºì»¨: 1
- Ìû×Ó: 438
- ÔÚÏß: 33.9Сʱ
- ³æºÅ: 2034860
- ×¢²á: 2012-09-28
- ÐÔ±ð: GG
- רҵ: »·¾³ÎÛȾ»¯Ñ§

3Â¥2017-04-26 08:35:21
ó¿ËÚ»¨»¨
гæ (³õÈëÎÄ̳)
- Ó¦Öú: 0 (Ó×¶ùÔ°)
- ½ð±Ò: 3
- Ìû×Ó: 4
- ÔÚÏß: 11Сʱ
- ³æºÅ: 5792416
- ×¢²á: 2017-03-01
- רҵ: µç»¯Ñ§·ÖÎö
|
Äã¾Í¿´ÓÐûôÊ»ù£¬°±»ù£¬ôÇ»ùµÄÌØÕ÷ÎüÊշ壬ÒÔ¼°Ì¼Á´¹Ç¼ÜÕñ¶¯£¬¾ßÌåÊý¾Ý²ÎÕս̲쬻òÍøÂçÊý¾Ý ·¢×ÔСľ³æAndroid¿Í»§¶Ë |
4Â¥2017-04-26 09:19:41
ÀÏÐÏÏÈÇý
ľ³æ (СÓÐÃûÆø)
- Ó¦Öú: 1 (Ó×¶ùÔ°)
- ½ð±Ò: 2430.7
- É¢½ð: 32
- Ìû×Ó: 69
- ÔÚÏß: 23.6Сʱ
- ³æºÅ: 3127334
- ×¢²á: 2014-04-10
- ÐÔ±ð: GG
- רҵ: »¯Ñ§·´Ó¦¹¤³Ì
5Â¥2017-04-27 07:28:40
ÀÏÐÏÏÈÇý
ľ³æ (СÓÐÃûÆø)
- Ó¦Öú: 1 (Ó×¶ùÔ°)
- ½ð±Ò: 2430.7
- É¢½ð: 32
- Ìû×Ó: 69
- ÔÚÏß: 23.6Сʱ
- ³æºÅ: 3127334
- ×¢²á: 2014-04-10
- ÐÔ±ð: GG
- רҵ: »¯Ñ§·´Ó¦¹¤³Ì
6Â¥2017-04-27 07:29:08














£¬±¾ÈËС°×Ò»¸ö£¬ºìÍâ¿´Á˰ëÌìҲûŪÇåÄĸö·åÊÇÄĸö»ùÍŵÄÕñ¶¯·å
»Ø¸´´ËÂ¥