| ²é¿´: 9422 | »Ø¸´: 3 | ||
pancong2015ľ³æ (СÓÐÃûÆø)
|
[ÇóÖú]
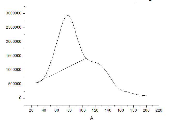
ÇëÎÊΪʲôorigin³öÏÖÕâÖÖÇé¿ö£¬¶à³öÒ»ÌõÏß ÒÑÓÐ1È˲ÎÓë
|
|
ÎÒÓÃorigin»Í¼»´¿µãµÄʱºòûÓÐÕâÌõÏߣ¬Ò»»»³ÉlineÁ¢¿Ì³öÏÖ£¬¶øÇÒÈ¥µôÄǸöµã£¬ÕâÌõÏߵĵãÏòÈ¥µôÕâ¸öµãСµÄ·½Ïò¿¿½ü 9.png |
» ²ÂÄãϲ»¶
ʵÑéÊÒͨ·ç¹ñʵÑę́ÄĸöÅÆ×Ӻã¿Äĸö³§¼ÒÆ·Öʺá¢ÖÊÁ¿ºÃ¡¢ÊÛºóºÃ
ÒѾÓÐ0È˻ظ´
³µÏ³¸´ºÏ»ú´²ÄÄ¼ÒÆ·Öʺá¢ÖÊÁ¿ºÃ¡¢ÐÔÄܺã¿
ÒѾÓÐ0È˻ظ´
µçÆø¿ÆÑ§Ó빤³ÌÂÛÎÄÈóÉ«/·ÒëÔõôÊÕ·Ñ?
ÒѾÓÐ144È˻ظ´
Ƭ¼ÁÓ²¶È¼Æ¿Ú±®³§¼ÒÍÆ¼ö£º½»»õ¿ì¡¢ÖÊÁ¿ÎÈ¡¢·þÎñÓÅ
ÒѾÓÐ0È˻ظ´
Ƭ¼ÁÓ²¶È¼Æ²É¹º±Ø±¸£ºÆ·ÅÆ¡¢ÐÔÄÜ¡¢¶¨ÖÆÈ«½âÎö
ÒѾÓÐ1È˻ظ´
Æ·ÅÆÔõôѡ£¿×Ô¶¯»¯ÒºÌ幤×÷Õ¾¶àά¶È¶Ô±È
ÒѾÓÐ0È˻ظ´
ʵÁ¦Ö®Ñ¡£¡¹©Ë®¹©µç°²È«ÖÇ¿ØÏµÍ³Ô´Í·³§¼ÒÆ·ÅÆÍÆ¼ö
ÒѾÓÐ0È˻ظ´
´óÁ¬º£Ê´óѧÂÖ»úѧԺ²©Ê¿Ãû¶î1¸ö
ÒѾÓÐ39È˻ظ´
hmimyboy
Ìú¸Ëľ³æ (ÖøÃûдÊÖ)
- Ó¦Öú: 4 (Ó×¶ùÔ°)
- ½ð±Ò: 6751.8
- É¢½ð: 2934
- ºì»¨: 47
- ɳ·¢: 2
- Ìû×Ó: 1700
- ÔÚÏß: 175.9Сʱ
- ³æºÅ: 2833006
- ×¢²á: 2013-11-28
- ÐÔ±ð: GG
- רҵ: °ëµ¼Ìå¾§ÌåÓ뱡Ĥ²ÄÁÏ
¡ï ¡ï
pancong2015(314977903´ú·¢): ½ð±Ò+2 2017-04-13 08:46:02
pancong2015(314977903´ú·¢): ½ð±Ò+2 2017-04-13 08:46:02
|
¿´¿´ÓÐûÓÐÒì³£Êý¾Ý£¬Ó¦¸ÃÊÇÊý¾ÝÓÐÎÊÌâ¡£»òÕß ÓÐûÓжàÒ»Áв»Ïà¹ØµÄÊý¾Ý ·¢×ÔСľ³æAndroid¿Í»§¶Ë |
2Â¥2017-04-11 22:09:36
ÄÉÃײÄÁÏ753
ľ³æÖ®Íõ (ÎÄѧ̩¶·)
¹âÔÀÖ®áÛ
- Ó¦Öú: 809 (²©ºó)
- ½ð±Ò: 118854
- É¢½ð: 110
- ºì»¨: 100
- ɳ·¢: 7
- Ìû×Ó: 95995
- ÔÚÏß: 5183.5Сʱ
- ³æºÅ: 526529
- ×¢²á: 2008-03-16
- ÐÔ±ð: GG
- רҵ: ¹âѧ

3Â¥2017-04-11 22:34:51
pancong2015
ľ³æ (СÓÐÃûÆø)
- Ó¦Öú: 0 (Ó×¶ùÔ°)
- ½ð±Ò: 4188.1
- É¢½ð: 100
- ºì»¨: 7
- Ìû×Ó: 246
- ÔÚÏß: 32.6Сʱ
- ³æºÅ: 4024961
- ×¢²á: 2015-08-16
- רҵ: ÎÞ»ú·Ç½ðÊôÀà¹âµçÐÅÏ¢Ó빦
4Â¥2017-04-13 08:36:03













»Ø¸´´ËÂ¥