| 查看: 525 | 回复: 4 | ||
songzhudong新虫 (正式写手)
|
[求助]
热容等式的推导,请教
|
|
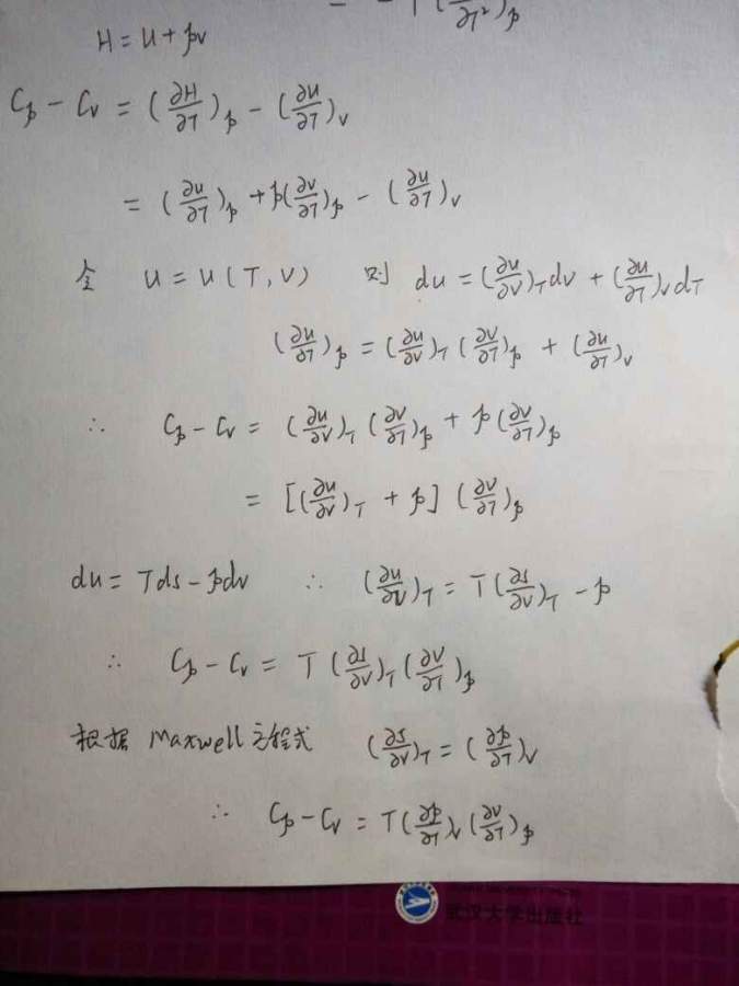
如图,画问号那两个等式是怎么推导的呢?请教大家了,自己是在推不出来了 发自小木虫Android客户端 |
» 猜你喜欢
武汉纺织大学-材料科学与工程学院-姜伟杰青团队-招生物方向调剂
已经有0人回复
武汉纺织大学-材料科学与工程学院-招 生物方向 硕士!
已经有0人回复
有机高分子材料论文润色/翻译怎么收费?
已经有282人回复
武汉纺织大学-材料科学与工程学院-姜伟杰青团队-招生物方向调剂
已经有0人回复
[武汉纺织大学]材料学院[姜伟团队名称]课题组-2026年硕士研究生调剂信息
已经有0人回复
武汉纺织大学-材料科学与工程学院-姜伟杰青团队-招调剂
已经有0人回复
生物医学材料前沿科普:低密度、高孔隙率的“多孔微球”核心技术与应用全景
已经有1人回复
湖南工业大学周贵寅组招生物医学工程(学硕07、08都行)、生物与医药(专硕08)硕士生
已经有0人回复
湖南工业大学周贵寅组招生物医学工程(学硕07、08都行)和生物与医药(专硕08)硕士生
已经有0人回复
考研求调剂
已经有0人回复
2026年中南民族大学化学与材料科学学院调剂公告
已经有23人回复

gbs5910
至尊木虫 (职业作家)
- 应助: 85 (初中生)
- 金币: 20322.4
- 散金: 306
- 红花: 8
- 帖子: 4696
- 在线: 271小时
- 虫号: 117635
- 注册: 2005-11-26
- 性别: GG
- 专业: 有机合成

2楼2017-04-11 22:32:27
gbs5910
至尊木虫 (职业作家)
- 应助: 85 (初中生)
- 金币: 20322.4
- 散金: 306
- 红花: 8
- 帖子: 4696
- 在线: 271小时
- 虫号: 117635
- 注册: 2005-11-26
- 性别: GG
- 专业: 有机合成
【答案】应助回帖
★ ★ ★ ★ ★ ★ ★ ★ ★ ★ ★ ★ ★ ★ ★ ★ ★ ★ ★ ★ ★ ★ ★ ★ ★ ★ ★ ★ ★ ★ ★ ★ ★ ★ ★ ★ ★ ★ ★ ★ ★ ★ ★ ★ ★ ★ ★ ★ ★ ★ ★
冰点降温: 金币+1, 应助指数+1, 谢谢回帖交流,欢迎常来无机物化版块。 2017-04-13 09:33:11
songzhudong(冰点降温代发): 金币+50 2017-04-13 09:33:16
冰点降温: 金币+1, 应助指数+1, 谢谢回帖交流,欢迎常来无机物化版块。 2017-04-13 09:33:11
songzhudong(冰点降温代发): 金币+50 2017-04-13 09:33:16
» 本帖已获得的红花(最新10朵)

3楼2017-04-11 22:41:31
songzhudong
新虫 (正式写手)
- 应助: 18 (小学生)
- 金币: 497.7
- 散金: 432
- 红花: 2
- 帖子: 725
- 在线: 156.1小时
- 虫号: 3519152
- 注册: 2014-11-04
- 性别: GG
- 专业: 无机纳米化学

4楼2017-04-12 16:26:58
gbs5910
至尊木虫 (职业作家)
- 应助: 85 (初中生)
- 金币: 20322.4
- 散金: 306
- 红花: 8
- 帖子: 4696
- 在线: 271小时
- 虫号: 117635
- 注册: 2005-11-26
- 性别: GG
- 专业: 有机合成

5楼2017-04-12 19:19:58














回复此楼
songzhudong