| 查看: 3254 | 回复: 3 | ||
shaoting1183新虫 (初入文坛)
|
[交流]
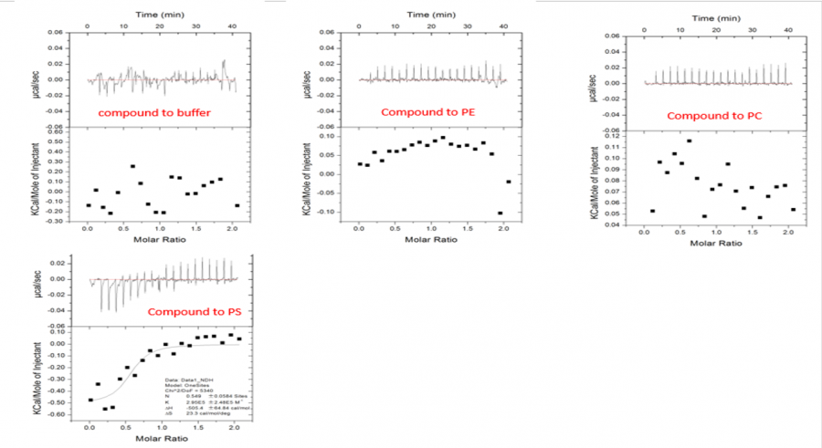
求大神帮忙分析ITC结果。
|
2楼2018-03-15 10:53:18
3楼2018-05-02 14:27:33
4楼2018-11-13 10:17:09













回复此楼