| 查看: 1856 | 回复: 1 | ||
carmen1204铜虫 (初入文坛)
|
[求助]
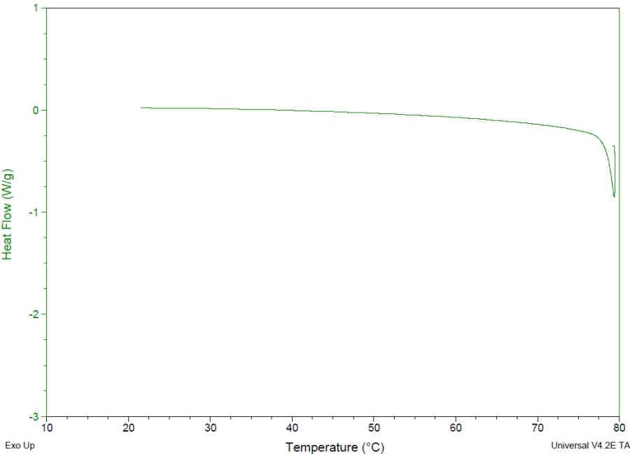
无机盐相变材料的DSC图 已有1人参与
|
|
求助!第一次做DSC,有些问题不是很明白。 这个是Na2HPO4·12H2O的DSC图像。加热的过程中,水合物失水,出现2个峰。但是降温的过程,并没有任何的峰出现,第二次升温的过程也没有峰出现。 请教一下为什么会出现这种情况?是因为没有完全失水,导致盐不再和游离水结合? 谢谢! 1cooling.PNG 1 heating.PNG 2 cooling.PNG 2 heating.PNG |
» 猜你喜欢
26届博士申请
已经有4人回复
PLLA 微球在生物医学领域的研究与应用
已经有1人回复
有机高分子材料论文润色/翻译怎么收费?
已经有123人回复
PLLA 微球的材料特性与制备工艺解析
已经有0人回复
医用聚己内酯(PCL)全解析:从两段式降解到组织工程应用
已经有0人回复
反相硅胶如何再生?
已经有1人回复
哈尔滨理工大学2026年研究生调剂,材料科学与化学工程学院研究生调剂
已经有4人回复
武汉一本高校招收材料、化学、高分子、纺织、生物相关专业硕士生
已经有0人回复
西南交通大学医学院招收生物医学工程和材料与化工专业硕士研究生
已经有13人回复
» 本主题相关商家推荐: (我也要在这里推广)
冰点降温
版主 (文坛精英)
- ICEPI: 16
- 应助: 1049 (博后)
- 贵宾: 17.583
- 金币: 142065
- 散金: 15350
- 红花: 243
- 沙发: 803
- 帖子: 15959
- 在线: 2057.8小时
- 虫号: 851406
- 注册: 2009-09-19
- 性别: GG
- 专业: 化学工程及工业化学
- 管辖: 无机/物化

2楼2017-04-10 10:24:28













回复此楼
20