| 查看: 270 | 回复: 0 | |||
[交流]
想用牛顿迭代解方程组
|
|
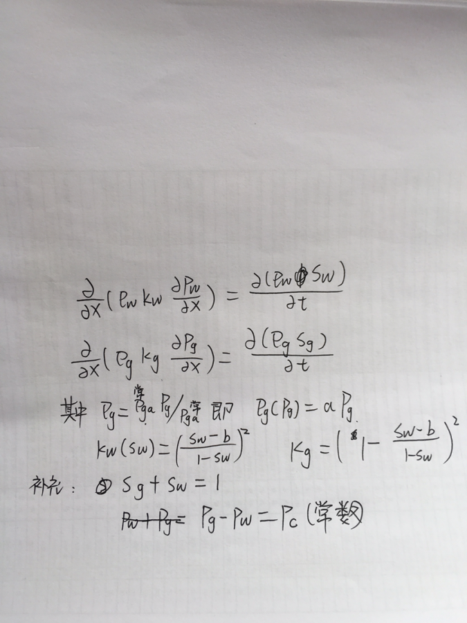
具体思路是什么样,我通过差分方程求解P,然后显式方法求解S,具体求解过程中没对K的影响考虑进去,我想隐式求解P和S 发自小木虫IOS客户端 |
» 猜你喜欢
070200求调剂,一志愿某211,288分
已经有20人回复
法国博士后职位
已经有0人回复
物理学I论文润色/翻译怎么收费?
已经有86人回复
重庆交大26年硕士生招生拟调剂通知已出!欢迎加入机器视觉与3D光学成像课题组。
已经有0人回复
**
已经有1人回复
0702一志愿吉大B区求调剂 本科期间发表一篇Sci
已经有3人回复
基底STO,薄膜SRO,XRD里面的振荡,是laue震荡还是kiessig振荡? 怎么判断?
已经有2人回复
B区学生调剂-兰州交通大学材料科学与工程学院
已经有8人回复
山西大同大学物理学专业还有调剂名额,欢迎调剂!
已经有9人回复
桂林理工大学物理学专业招收调剂
已经有10人回复













回复此楼