| 查看: 858 | 回复: 2 | ||
[求助]
微分方程组的参数确定 已有1人参与
|
|
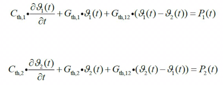
公式见图中。 其中,θ1(t)的曲线是已测得的,Gth1,Gth2和Gth12是可以算出的,p1(t),p2(t)均算出,这些常量均为已知条件。 难点在θ2(t)是未知的,已知的条件仅有θ2(0)=0一项;以及当dθ/dt=0时的稳态值。 怎样通过参数拟合的方法来确定Cth1和Cth2呢? 十分感谢! 发自小木虫IOS客户端 |
» 猜你喜欢
一志愿安徽大学0817化学工程与技术,求调剂
已经有11人回复
求材料调剂,一志愿郑州大学289分
已经有3人回复
265求调剂
已经有9人回复
085600材料与化工调剂
已经有20人回复
专硕 351 086100 也是考的材科基 本科也是材料
已经有6人回复
085600专硕材料与化工348分求调剂
已经有10人回复
085600 295分求调剂
已经有21人回复
285求调剂
已经有5人回复
一志愿0817化学工程与技术,求调剂
已经有8人回复
271分求调剂学校
已经有3人回复
wjb986555360 
新虫 (初入文坛)
|
本帖内容被屏蔽 |
2楼2017-04-04 15:19:00
3楼2017-04-16 19:37:59














回复此楼