| 查看: 12565 | 回复: 5 | |
[求助]
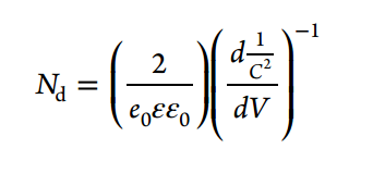
莫特肖特基计算载流子浓度
|
|
|
|
|
|
2楼2017-04-01 13:02:26
|
|
|
3楼2017-08-10 11:43:57
|
|
|
4楼2017-12-21 17:09:14
|
|
|
5楼2021-07-01 14:04:10
|
|
你清醒清醒新虫 (正式写手)
|
|
|
6楼2021-07-14 12:21:44
|
|














回复此楼