24СʱÈÈÃŰæ¿éÅÅÐаñ    

Znn3bq.jpeg
ÉÇÍ·´óѧº£Ñó¿ÆÑ§½ÓÊܵ÷¼Á
²é¿´: 1456  |  »Ø¸´: 0

ÌìÁÁ²Å˵Íí°²

гæ (СÓÐÃûÆø)

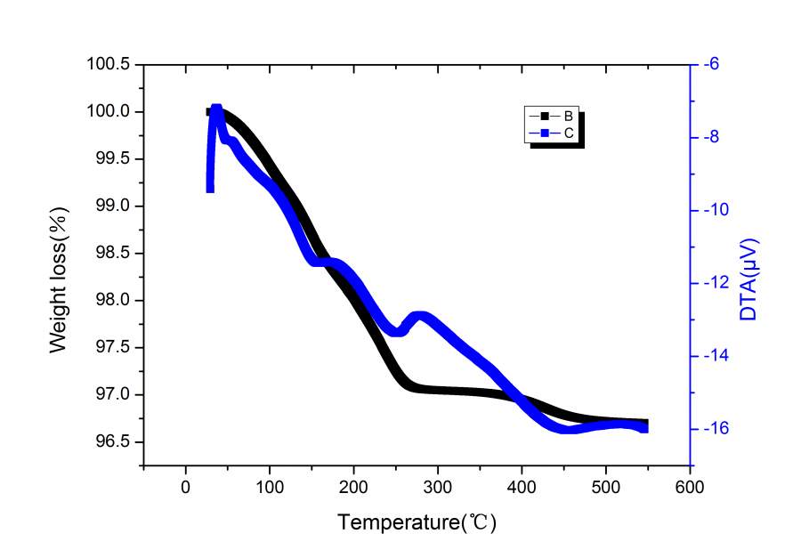
[ÇóÖú] TG-DTAÇúÏß·ÖÎö

ÐÂÊÖÒ»¸ö  µÚÒ»´Î²âÈÈÖØ£¬Çó°ïæ·ÖÎöÒÔÏ¡£ÑùÆ·ÊÇAgNO3/TiO2/H3PO4¡¤(WO3)12¡¤xH2O

TG-DTAÇúÏß·ÖÎö
ÈÈÖØ.jpg
»Ø¸´´ËÂ¥

» ²ÂÄãϲ»¶

ÒÑÔÄ   »Ø¸´´ËÂ¥   ¹Ø×¢TA ¸øTA·¢ÏûÏ¢ ËÍTAºì»¨ TAµÄ»ØÌû
Ïà¹Ø°æ¿éÌø×ª ÎÒÒª¶©ÔÄÂ¥Ö÷ ÌìÁÁ²Å˵Íí°² µÄÖ÷Ìâ¸üÐÂ
×î¾ßÈËÆøÈÈÌûÍÆ¼ö [²é¿´È«²¿] ×÷Õß »Ø/¿´ ×îºó·¢±í
[¿¼ÑÐ] Ò»Ö¾Ô¸¹þ¹¤´ó 085600 277 12²Ä¿Æ»ùÇóµ÷¼Á 5+5 chenny174 2026-04-10 36/1800 2026-04-13 22:17 by zhq0425
[¿¼ÑÐ] ÉúÎïѧ308·ÖÇóµ÷¼Á£¨Ò»Ö¾Ô¸»ª¶«Ê¦´ó£©×ö¹ý·Ö×ÓʵÑé +9 ÏàÐűػá¹ââÍòÕ 2026-04-07 10/500 2026-04-13 10:20 by ¿Éµ­²»¿ÉÍü
[¿¼ÑÐ] Ò»Ö¾Ô¸»ª¹¤085600 331·Ö +7 ÌìÏÂww 2026-04-09 7/350 2026-04-13 09:01 by lhj2009
[¿¼ÑÐ] Çóµ÷¼Á +9 ³Ô¿Ú±ù¼¤Áè 2026-04-07 9/450 2026-04-13 08:46 by ×ÏêØ×ÏÆå
[¿¼ÑÐ] 085404 293Çóµ÷¼Á +9 ÓÂÔ¶¿â°®314 2026-04-08 9/450 2026-04-12 02:24 by Çï¶¹²ËÑ¿
[¿¼ÑÐ] Ò»Ö¾Ô¸Ö£ÖÝ´óѧ 22408 305·ÖÇóµ÷¼Á +5 °²Ð¡Âúzzz 2026-04-08 5/250 2026-04-12 00:41 by À¶ÔÆË¼Óê
[¿¼ÑÐ] ¿¼ÑÐÇóµ÷¼Á +3 ban°àСÆß 2026-04-11 3/150 2026-04-11 20:48 by may_ÐÂÓî
[¿¼ÑÐ] ±¾ÈËÅ®º¢ +7 ºðºð£¬ 2026-04-10 9/450 2026-04-11 14:45 by ACS Nano¡ª¡ª
[¿¼ÑÐ] 085600²ÄÁÏÓ뻯¹¤329·ÖÇóµ÷¼Á +16 Ò¶zilin 2026-04-10 16/800 2026-04-11 11:04 by may_ÐÂÓî
[¿¼ÑÐ] 298Çóµ÷¼Á +5 ²ÐºÉÐÂÁø 2026-04-07 5/250 2026-04-11 11:02 by ×ÏêØ×ÏÆå
[¿¼ÑÐ] µ÷¼Á +4 µçÆø300Çóµ÷¼Á²» 2026-04-08 7/350 2026-04-11 10:44 by ×ÏêØ×ÏÆå
[¿¼ÑÐ] 275Çóµ÷¼Á +9 1624447980 2026-04-08 10/500 2026-04-11 10:20 by Delta2012
[¿¼ÑÐ] 293Çóµ÷¼Á +6 ÓÂÔ¶¿â°®314 2026-04-08 6/300 2026-04-11 10:08 by zhq0425
[¿¼ÑÐ] 342µç×ÓÐÅϢר˶Çóµ÷¼Á +9 ÄãÈÃÎÒÔõôÀóÖ¦ 2026-04-10 10/500 2026-04-11 08:33 by zhq0425
[¿¼ÑÐ] ÉúÎïѧ308Çóµ÷¼Á£¨Ò»Ö¾Ô¸»ª¶«Ê¦´ó£© +6 ÏàÐűػá¹ââÍòÕ 2026-04-10 6/300 2026-04-11 05:23 by zhuwenxu
[¿¼ÑÐ] 263ÄÜÔ´¶¯Á¦×¨Ë¶Çóµ÷¼Á +3 ¼Ó´óºÅ·¹ºÐ´ü 2026-04-10 3/150 2026-04-10 22:23 by 286640313
[¿¼ÑÐ] ³õÊÔ261 +3 AshtÉÙ 2026-04-10 6/300 2026-04-10 16:38 by AshtÉÙ
[¿¼ÑÐ] 298Çóµ÷¼Á +13 ¶¤¶£ß˶¬¹Ï 2026-04-09 13/650 2026-04-10 15:49 by jiajinhpu
[ÂÛÎÄͶ¸å] ÇóÖúÎÄÏ×Ô­ÎÄ 10+3 18500821399 2026-04-08 3/150 2026-04-09 16:56 by ±±¾©À³ÒðÈóÉ«
[¿¼ÑÐ] 287Çóµ÷¼Á +6 Fnhc 2026-04-07 6/300 2026-04-08 10:05 by xingguangj
ÐÅÏ¢Ìáʾ
ÇëÌî´¦ÀíÒâ¼û